本篇是量化课堂数学课的第一篇正文,之后会陆续推出线性代数、数学分析、测度论、概率统计、随机过程等量化分析相关的数学课程。想对线性代数有概括性了解的同学可以参阅为什么学线性代数。
线性空间和向量是线性代数中最基础的概念,任何学习理工科的人都绕不开的概念。“线性”中的“线”可以理解为实数线的“线”,只要我们用到实数的时候就涉及到了线性的概念。不夸张地讲,现实中的绝大多数数理概念都是线性的,即便不是,它在局部上也会有近似线性的结构。
一般来讲,线性空间的定义基于一种叫做域 (field) 的代数结构。但是在实际应用中我们并不需要对一般性的域进行讨论,而只需要使用我们最熟悉的域 --- 实数RR。为了不给读者带来混淆,数学课堂线性代数课程都只基于实数域,而对一般性域感兴趣的读者可以自行参阅任何抽象代数的入门教材。
1、线性空间
下面我们定义线性空间。
定义. 一个
上的线性空间(vector space over
)是一个集
,其具有加法+:
×
→
和纯量乘法 ·∶
×
→
两种运算,并满足以下性质:
交换性(commutativity):
对于任何
都有
;
结合性(associativity):
满足于任何
和
;
加法单元性(additive identity):
存在一个元素
,有
满足于任何
;
加法逆元素(additive inverse):
对于任何
都存在一个
,满足
,写为
;
乘法单位元(multiplicative identity):
满足于任何
,这里的1就是实数1;
分配性(distributivity):
满足于任何
和
.
线性空间里的元素都叫向量(vector)。
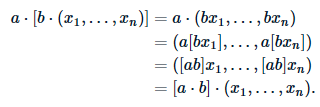
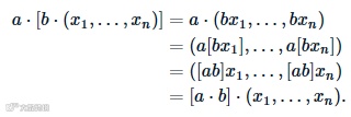
出于书写的简便性,我们一般将乘法的点省略掉。比如有
和
,可以将他们的乘积写作
。另外需要指出,虽然在线性空间的定义中没有减法运算,但是由于加法逆元素
的存在,我们可以将减法定义为
。
我们在实际应用中会用到的线性空间基本上都是 n 维欧式空间(n dimensional Euclidean space),写为
,这些线性空间的元素都用
表示,其中每一个
都是一个实数。比如说,(3,5)是
中的向量,而(1.5,0.38,8)是
中的向量,这里
的数字也就是我们常说的 坐标(coordinate)。
为了确认
的确是一个线性空间,我们必须定义,
上的加法和乘法运算,并逐一检测它的线性空间的性质。虽然这些性质检验起来比较简单,但数学是一门严谨的学科,只有在亲自证明之后才能理直气壮地下结论。
2、定义和定理
在集合
上定义加法和纯量乘法如下:对于
和
,定义

.
那么
是一个线性空间。
3、证明
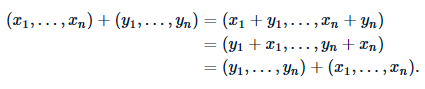
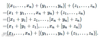
我们逐一检验线性空间的性质:设
和
,
交换性:

结合性:

以及

加法单位元:设
:=(0,0,...,0),那么对于任何
,有
所以
是
中的加法单位元。
加法逆元素:对于
,有
,满足
所以加法逆元素是存在的。
乘法单位元:很明显,

所以 1 是
的乘法单位元。
分配性:留给读者作为证明练习。
因为满足所有线性空间的条件,因此
的确是一个线性空间。
4、例子
我们日常生活的三维世界就是一个线性空间,它也是我们对线性空间所有直觉的由来。我们现在请来中国人民的好朋友,小明同学,来进行一些示范。因为小明是中国教科书上最传奇的人物,所以他可以上天入地,如果我们发现小明做了一些超乎常理的事情(比如会飞),无需惊讶。
假设小明他站在地上,然后他向正右走了 55米,向正前方走了 33米,接着再向上飘了 88米,又向左飘了 11米,我们可以把这四个动作用
中的向量分别表示为
那么他现在的坐标是
·
假设他把上面的动作再都按顺序重复两次,那么他的新坐标是
·
然后小明从天上掉了下来,他的高度坐标清零,新坐标是
·
他的下坠过程用向量表示为
·
总共下坠了24米。
因为我们平时只能看到三维的空间,所以很难想象四维以上的空间,感觉那都像科幻故事里的事情。其实不然,高维度的空间其实是非常简单的 --- 只要你不去想它的长相。假设小明学校有1000个学生并且学校里流行收集红、蓝、绿、黄色的玻璃珠,那么每个学生的四种玻璃珠的数量(红,蓝,绿,黄)即是四维空间
上的一个点,整个学校的学生代表1000个这样的点。
双胞胎小刚和小钢两人的玻璃珠数量一样,分别有5个红色、1个蓝色、2个绿色并且没有黄色那么他们其中一人的玻璃珠数量可以表示为向量
,两个人的玻璃珠总和是
·
线性空间是很基础也很容易想象的数学结构,但严格的数学定义和论证可能让初学者有些困惑,希望同学们努力尝试去理解这些概念,对以后的学习会有很大帮助。
点击『阅读原文』,到JoinQuant聚宽查看原文并参与讨论~
长按二维码,关注JoinQuant聚宽

