导语:商业哲学家 Jim Rohn 说过一句话,“你,就是你最常接触的五个人的平均。”那么,在分析一个人时,我们不妨观察和他最亲密的几个人。同理的,在判定一个未知事物时,可以观察离它最近的几个样本,这就是 kNN(k最近邻)的方法。
简介
kNN还真是直接讲例子最好懂。大家都喜欢兔子,所以就来说一说兔子的事情吧。
有一种兔子叫作悲伤(Grief),它们的平均身高是 50 厘米,平均体重 5 公斤。我们拿来一百个悲伤,分别测量它们的身高和体重,画在坐标图上,用绿色方块表示。

还有一种兔子呢,叫作痛苦(Agony)。它们体型比较小,平均身高是 30 厘米,平均体重是 4 公斤。我们将一百个痛苦的身高和体重画在同一个坐标图上,用蓝色三角表示。

最后一种兔子叫绝望(Despair)。它们的平均身高45厘米,但体重较轻,平均只有2.5公斤。一百只绝望的数据用黄色圆圈表示。

在这些数据中,(身高,体重) 的二元组叫做特征(features),兔子的品种则是分类标签(class label)。我们想解决的问题是,给定一个未知分类的新样本的所有特征,通过已知数据来判断它的类别。
北京十八环外有一个小树林里经常出现这三种兔子。为了了解它们的生态环境,某研究团队想知道三种兔子的数量比例;可是这些兔子又太过危险,不能让人亲自去做,所以要设计一个全自动的机器人,让它自己去树林里识别它遇到的每一个兔子的种类。啊,为了把故事讲圆,还要假设他们经费不足,所以机器只有测量兔子的身高和体重的能力。
那么现在有一迷之兔子,我们想判断它的类别,要怎么做呢?按照最普通的直觉,应该在已知数据里找出几个和我们想探究的兔子最相似的几个点,然后看看那些兔子都是什么个情况;如果它们当中大多数都属于某一类别,那么迷之兔子大概率也就是那个类别了。
于是乎,我们给机器人预设一个整数 k,让它去寻找距离最近的k个数据样本进行分析。好,机器发现了一只兔子,它长着八条腿,三十二只眼睛,毛茸茸的小尾巴,齐刷刷的八十六颗獠牙,面相狰狞,散发着噩梦般的腐臭,发出来自地狱底处的咆哮… 差不多就是这个样子(作者手绘):

可我们的机器才识别不了那么多,它只测量出这只兔子身长 40 厘米,体重 2.7 公斤,就是下面图中那颗闪闪发亮的红星

kNN 算法如何对这次观测进行分类要取决于k的大小。直觉告诉我们迷之兔像是一只绝望,因为除了最近的蓝色三角外,附近其他都是黄色圆圈。的确,如果设 k=15,算法会判断这只兔子是一只绝望。但是如果设 k=1,那么由于距离最近的是蓝色三角,会判断迷之兔子是一只痛苦。
如果按照15NN和1NN的方法对这个二维空间上的每一个点进行分类,会形成以下的分割


在两组分类中,1NN 的分类边界明显更“崎岖”,但是对历史样本没有误判;而 15NN 的分类边界更平滑,但是对历史样本有发生误判的现象。选择k的大小取决于对偏差和方差之间的权衡,本篇不进行更深探讨,读者在使用 kNN 时凭感觉选一个 k 就好。
距离函数
我们在上面的例子中把一个很重要的概念隐藏了起来,在选择一个数量k还只是小问题,更重要的是距离的计算方法。毕竟,当我们说“最近的k个点”时,这个“近”是怎么衡量的?
在数学中,一个空间上距离的严格定义如下:
设 MM 为一个空间,MM 上的一个距离函数是一个函数 d:M×M→R,满足
∙ d(x,y)≥0 ∀x,y∈M
∙ d(x,y)=0(等价于,显示不了。。)x=y
∙ d(x,y)=d(y,x) ∀x,y∈M
∙ d(x,z)≤d(x,y)+d(y,z) ∀x,y,z∈M
两个点 x,y 之间的距离就是 d(x,y)。
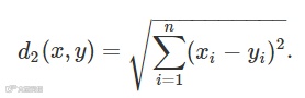
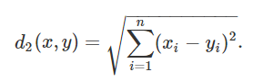
我们一般最常用的距离函数是欧氏距离,也称作 L2 距离。如果 x=(x1,x2,…,xn) 和 y=(y1,y2,…,yn) 是 nn 维欧式空间 Rn 上的两个点,那它们之间的 L2 距离是

L2 是更普遍的 Lp 距离在 p=2 时的特列。Lp 距离的函数 dp 定义如下:对于 1≤p<∞,有

还有 距离

在实际应用中,距离函数的选择应该根据数据的特性和分析的需要而定,本篇就不进行更深入的探讨,一般情况下使用最常用的 L2 函数即可。
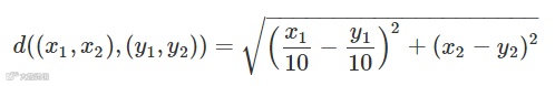
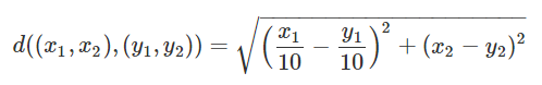
但是!注意!使用 kNN 时需要根据特征数据的取值区间来调整坐标轴的比例,这个做法叫作标准化或者归一化。为什么要这么做呢?拿上面的例子来说,一只兔子的身长(cm)数值平均是它的体重(kg)的 10 倍左右,如果我们在这组数值上直接使用 L2 距离函数的话就会导致横轴的距离比重明显放大,分类结果也不合理,如下图所示

如果把坐标轴成其他的单位,比如毫米和吨,并用相应的新数值来计算距离,又会得到完全不同的分类标准。甚至,在极端情况下,如果身高用纳米并且体重用吨计量,那么相比之下身高的数值会奇高无比,以至于两点之间的距离是完全由身高决定的,体重则没有任何权重。为了解决这个问题,我们应该在计算距离时把所有坐标轴进行归一化。
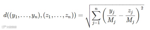
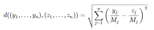
在之前的例子中,由于横轴数值大约是竖轴的 10 倍左右,所以我们将横轴(身高)的数值压缩 10 倍,即计算距离时使用

就可以得出合理的 kNN 分类。
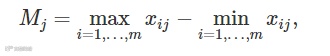
一般来说,假设进行 kNN 分类使用的样本的特征是
,取每一轴上的最大值减最小值

并且在计算距离时将每一个坐标轴除以相应的 Mj 以进行归一化,即

便可以规避坐标轴比例失衡的问题。
概率 kNN
上面的kNN算法返回的是对一组特征的绝对分类,告诉我们这只兔子被判断为哪一个类别。可有时我们并不想知道一个确切地分类,而想知道它属于某个分类的概率是多大。比如我们发现一只身长 37 体重 4.8 的小兔兔,在下图五角星的位置。

这只兔子的特征数据在悲伤和痛苦的分界处,机器不论判断它属于哪个类别都很有可能是错的。这时,类似“它有一半可能性是痛苦,一半可能性是悲伤”的反馈会更有意义。
为了这个目的,我们同样找找出距离问题特征最近的 k 个样本,但与其寻找数量最多的分类,我们统计其中每个类别的分别有多少个,再除以 kk 得到一个属于每一个类别概率值。比如在上面的图里,距离五角星最近的 15 个样本中,有 8 只悲伤和 7 只痛苦,由此判断:它有 53% 的可能性是悲伤,47% 的可能性是痛苦,0%的可能性是绝望。
在整个二维空间中的每一个点上进行概率 kNN 算法,可以得到每个特征点是属于某个类别的概率热力图,图中颜色越深代表概率越大。



相比于绝对的分类,这些概率的计算会给我们更有效的表述以及更多的应用空间。比如说,我们知道悲伤兔子喜欢向我们的机器人上喷洒奇怪的粘液,毫无作用毫无意义的绿色的粘液,就像这样(作者手绘):

倒不是因为别的,我们就是觉得这种粘液很恶心,清洗起来也很麻烦,所以我们想让机器人在测量并发现是悲伤之后马上掉头逃跑。但是如果机器发现了一只体型接近痛苦的悲伤,并且普通的 kNN 算法发生误判,没有马上逃跑,那么最后就会被喷了。所以我们使用概率 kNN 的算法并且使用以下风控原则:只要发现兔子有 30% 以上的概率是悲伤,就马上逃跑。从此之后,机器人就再也没被喷过。
结语
不知你有没有发现,我跟你讲了这么多关于兔子的事,却丝毫没有提及如何用代码计算 kNN。这是因为 kNN 虽然思路简单,但实现起来有一个问题,那就是计算量很大;当数据量很多时,拿一组特征来和所有样本依次计算距离并选取最近的 k 个,是非常耗费时间的。所以,在量化课堂接下来的文章中,我们将讲解 kNN 的一个高效算法—kd树。
点击『阅读原文』,到JoinQuant社区交流讨论。

长按指纹,关注JoinQuant

