导语:在上一篇《kd 树算法之思路篇》中,我们介绍了如何用二叉树格式记录空间内的距离,并以其为依据进行高效的索引。在本篇文章中,我们将详细介绍 kd 树的构造以及 kd 树上的 kNN 算法。
阅读本文前请掌握 kNN(level-1)的知识。
kd 树的结构
kd树是一个二叉树结构,它的每一个节点记载了【特征坐标,切分轴,指向左枝的指针,指向右枝的指针】。
其中,特征坐标是线性空间 Rn 中的一个点 (x1,x2,…,xn)。
切分轴由一个整数 r 表示,这里 1≤r≤n,是我们在 n 维空间中沿第 r 维进行一次分割。
节点的左枝和右枝分别都是 kd 树,并且满足:如果 y 是左枝的一个特征坐标,那么 yr≤xr;并且如果 z 是右枝的一个特征坐标,那么 zr≥xr。
给定一个数据样本集 S⊆Rn 和切分轴 r,以下递归算法将构建一个基于该数据集的 kd 树,每一次循环制作一个节点:
−− 如果 |S|=1,记录 SS 中唯一的一个点为当前节点的特征数据,并且不设左枝和右枝。(|S| 指集合 S 中元素的数量)
−− 如果 |S|>1:
∙ 将 SS 内所有点按照第 rr 个坐标的大小进行排序;
∙ 选出该排列后的中位元素(如果一共有偶数个元素,则选择中位左边或右边的元素,左或右并无影响),作为当前节点的特征坐标,并且记录切分轴 r;
∙ 将 SL设为在 S 中所有排列在中位元素之前的元素; SR 设为在 S 中所有排列在中位元素后的元素;
∙ 当前节点的左枝设为以 SL 为数据集并且 r 为切分轴制作出的 kd 树;当前节点的右枝设为以 SR 为数据集并且 r 为切分轴制作出的 kd 树。再设 r←(r+1)modn。(这里,我们想轮流沿着每一个维度进行分割;modn 是因为一共有 n 个维度,在沿着最后一个维度进行分割之后再重新回到第一个维度。)
构造 kd 树的例子
上面抽象的定义和算法确实是很不好理解,举一个例子会清楚很多。首先随机在 R2 中随机生成 13 个点作为我们的数据集。起始的切分轴 r=0;这里 r=0 对应 x 轴,而 r=1 对应 y 轴。

首先先沿 x 坐标进行切分,我们选出 x 坐标的中位点,获取最根部节点的坐标

并且按照该点的x坐标将空间进行切分,所有 x 坐标小于 6.27 的数据用于构建左枝,x坐标大于 6.27 的点用于构建右枝。

在下一步中 r=0+1=1mod2 对应 y 轴,左右两边再按照 y 轴的排序进行切分,中位点记载于左右枝的节点。得到下面的树,左边的x 是指这该层的节点都是沿 x 轴进行分割的。

空间的切分如下

下一步中 r≡1+1≡0mod2,对应 x 轴,所以下面再按照 x 坐标进行排序和切分,有
最后每一部分都只剩一个点,将他们记在最底部的节点中。因为不再有未被记录的点,所以不再进行切分。

就此完成了 kd 树的构造。
kd 树上的 kNN 算法
给定一个构建于一个样本集的 kd 树,下面的算法可以寻找距离某个点 p 最近的 k 个样本。
零、设 L 为一个有 k 个空位的列表,用于保存已搜寻到的最近点。
一、根据 p 的坐标值和每个节点的切分向下搜索(也就是说,如果树的节点是按照 xr=a 进行切分,并且 p 的 r 坐标小于 a,则向左枝进行搜索;反之则走右枝)。
二、当达到一个底部节点时,将其标记为访问过。如果 L 里不足 k 个点,则将当前节点的特征坐标加入 L ;如果 L 不为空并且当前节点的特征与 p 的距离小于 L 里最长的距离,则用当前特征替换掉 L 中离 p 最远的点。
三、如果当前节点不是整棵树最顶端节点,执行 (a);反之,输出 L,算法完成。
a. 向上爬一个节点。如果当前(向上爬之后的)节点未曾被访问过,将其标记为被访问过,然后执行 (1) 和 (2);如果当前节点被访问过,再次执行 (a)。
1. 如果此时 L 里不足 k 个点,则将节点特征加入 L;如果 L 中已满 k 个点,且当前节点与 p 的距离小于 L 里最长的距离,则用节点特征替换掉 L 中离最远的点。
2. 计算 p 和当前节点切分线的距离。如果该距离大于等于 L 中距离 p 最远的距离,则在切分线另一边不会有更近的点,执行(三);如果该距离小于 L 中最远的距离,则切分线另一边可能有更近的点,因此在当前节点的另一个枝从 (一) 开始执行。
啊呃… 被这算法噎住了,赶紧喝一口下面的例子
设我们想查询的点为 p=(−1,−5),设距离函数是普通的 L2 距离,我们想找距离问题点最近的 k=3 个点。如下:

首先执行 (一),我们按照切分找到最底部节点。首先,我们在顶部开始

和这个节点的 x 轴比较一下,

p 的 x 轴更小。因此我们向左枝进行搜索:

这次对比 y 轴,

p 的 y 值更小,因此向左枝进行搜索:

这个节点只有一个子枝,就不需要对比了。由此找到了最底部的节点 (−4.6,−10.55)。

在二维图上是

此时我们执行 (二)。将当前结点标记为访问过,并记录下 L=[(−4.6,−10.55)]。啊,访问过的节点就在二叉树上显示为被划掉的好了。
然后执行 (三),嗯,不是最顶端节点。好,执行 (a),我爬。上面的是 (−6.88,−5.4)。


执行 (1),因为我们记录下的点只有一个,小于 k=3,所以也将当前节点记录下,有 L=[(−4.6,−10.55),(−6.88,−5.4)]。再执行 (2),因为当前节点的左枝是空的,所以直接跳过,回到步骤 (三)。(三) 看了一眼,好,不是顶部,交给你了,(a)。于是乎 (a) 又往上爬了一节。


(1) 说,由于还是不够三个点,于是将当前点也记录下,有 L=[(−4.6,−10.55),(−6.88,−5.4),(1.24,−2.86)]。当然,当前结点变为被访问过的。
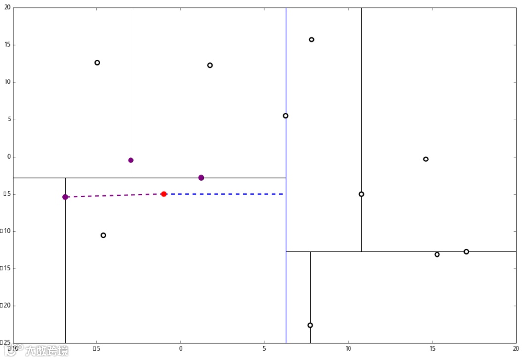
(2) 又发现,当前节点有其他的分枝,并且经计算得出 p 点和 L 中的三个点的距离分别是 6.62,5.89,3.10,但是 p 和当前节点的分割线的距离只有 2.14,小于与 L 的最大距离:

因此,在分割线的另一端可能有更近的点。于是我们在当前结点的另一个分枝从头执行 (一)。好,我们在红线这里:

要用 p 和这个节点比较 x 坐标:

p 的 x 坐标更大,因此探索右枝 (1.75,12.26),并且发现右枝已经是最底部节点,因此启动 (二)。

经计算,(1.75,12.26) 与 pp 的距离是 17.48,要大于 p 与 L 的距离,因此我们不将其放入记录中。

然后 (三) 判断出不是顶端节点,呼出 (a),爬。

(1) 出来一算,这个节点与 p 的距离是 4.91,要小于 p与 L 的最大距离 6.62。

因此,我们用这个新的节点替代 L 中离 p最远的 (−4.6,−10.55)。

然后 (2) 又来了,我们比对 p 和当前节点的分割线的距离

这个距离小于 L 与 p 的最小距离,因此我们要到当前节点的另一个枝执行 (一)。当然,那个枝只有一个点,直接到 (二)。

计算距离发现这个点离 p 比 L 更远,因此不进行替代。

(三) 发现不是顶点,所以呼出 (a)。我们向上爬,

这个是已经访问过的了,所以再来(a),

好,(a)再爬,

啊!到顶点了。所以完了吗?当然不,还没轮到 (三) 呢。现在是 (1) 的回合。
我们进行计算比对发现顶端节点与p的距离比L还要更远,因此不进行更新。

然后是 (2),计算 p 和分割线的距离发现也是更远。

因此也不需要检查另一个分枝。
然后执行 (三),判断当前节点是顶点,因此计算完成!输出距离 pp 最近的三个样本是 L=[(−6.88,−5.4),(1.24,−2.86),(−2.96,−2.5)]。
结语
kd 树的 kNN 算法节约了很大的计算量(虽然这点在少量数据上很难体现),但在理解上偏于复杂,希望本篇中的实例可以让读者清晰地理解这个算法。喜欢动手的读者可以尝试自己用代码实现 kd 树算法,但也可以用现成的机器学习包 scikit-learn 来进行计算。量化课堂的下一篇文章就将讲解如何用 scikit-learn 进行 kNN 分类。
点击『阅读原文』,到JoinQuant社区交流讨论。

长按指纹,关注JoinQuant

