新研究揭示血液生物标志物在COVID-19后肺纤维化风险评估中的关键作用
引言
近期发表于《欧洲临床呼吸杂志》(European Clinical Respiratory Journal)的一项前瞻性研究指出,血清生物标志物PRO-C3和PRO-C6可作为评估重症COVID-19患者肺纤维化风险的重要工具。这项研究由丹麦西兰大学医院牵头,通过对34名重症COVID-19康复者进行长达12个月的随访,首次系统性地探讨了胶原合成标志物与肺功能恢复的关联,为早期筛查和个性化管理提供了新依据。
研究设计:追踪康复过程
研究采用前瞻性观察队列设计,纳入2020年6月至2021年12月期间因重症COVID-19住院并需重症监护的患者。患者在出院后1、3、6和12个月接受系列检查,包括肺功能测试(如FEV1、TLC、DLco)、高分辨率CT(HRCT)扫描以及血液采样分析生物标志物。这种多时间点追踪旨在捕捉肺纤维化动态变化。
血液生物标志物:纤维化活动的“晴雨表”
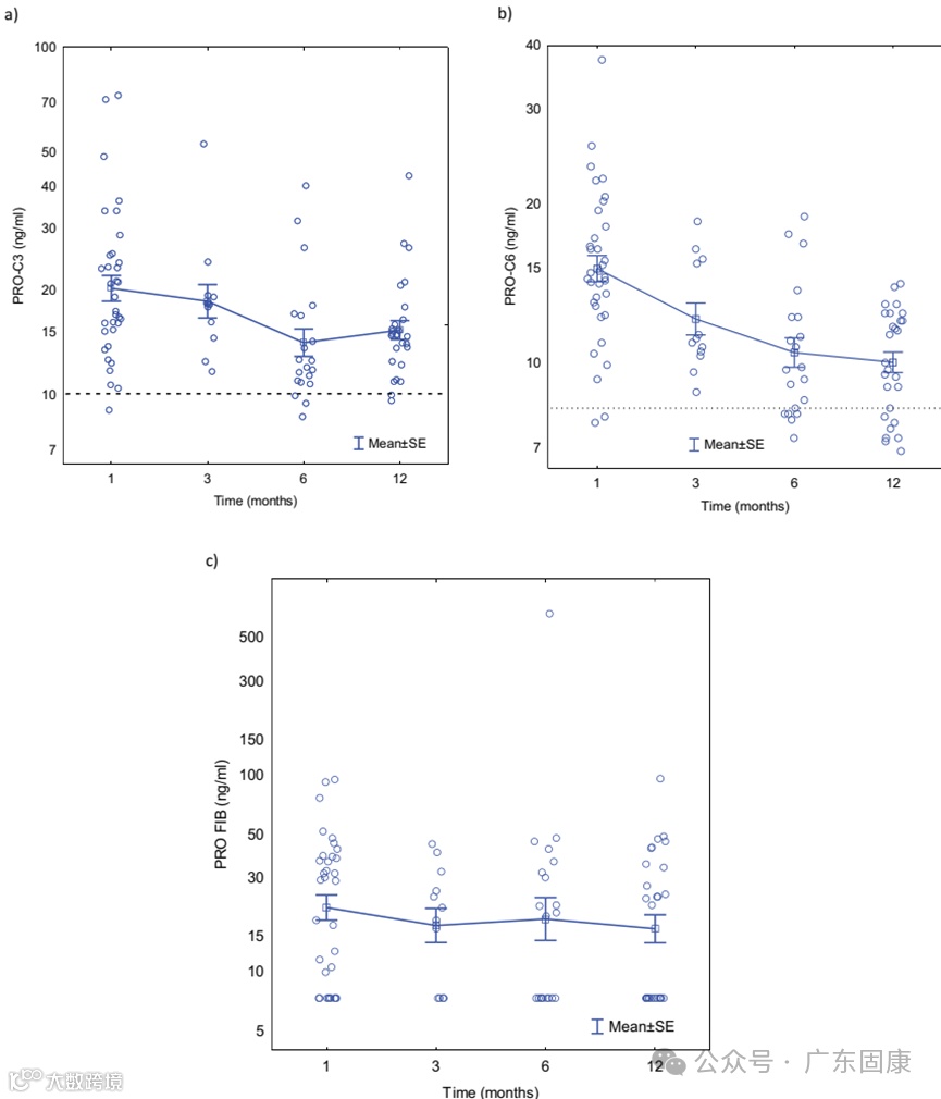
研究重点分析了三种血清生物标志物:PRO-C3(反映III型胶原合成)、PRO-C6(反映VI型胶原合成,又称内皮营养素)和PRO-FIB(反映纤维蛋白原活化)。结果发现,所有标志物在出院后早期均显著升高,其中PRO-C3和PRO-C6在1个月时达到峰值(分别为23.2 ng/ml和15.9 ng/ml,远超正常范围7-10 ng/ml和6-8 ng/ml),并在6个月内持续下降,12个月后接近正常水平。这种趋势表明,血液检测能灵敏捕捉COVID-19引发的纤维化活动。
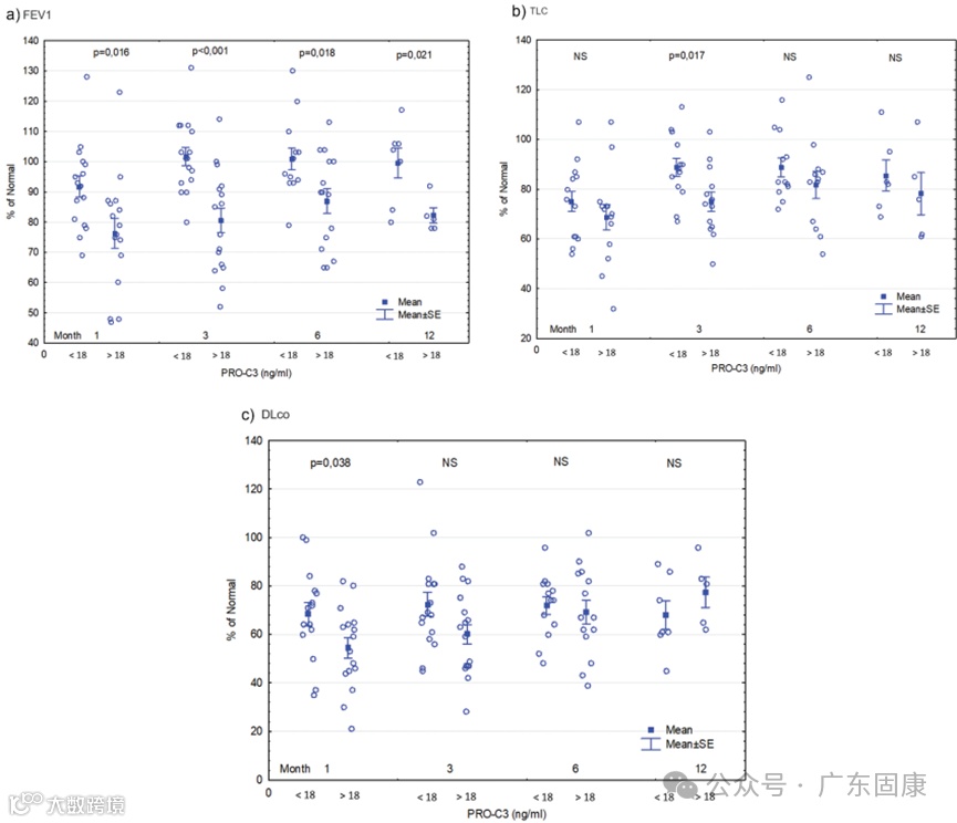
肺功能测试显示,患者FEV1(1秒用力呼气量)、TLC(总肺容量)和DLco(弥散能力)在出院后6个月内显著改善,随后趋于稳定。例如,DLco从1个月时的61%预测值提升至6个月的71%。统计分析揭示,PRO-C3水平与肺功能改善呈正相关:高于中位值(18 ng/ml)的患者肺功能恢复更慢,凸显其预测价值。尽管HRCT显示部分患者12个月后仍有纤维化变化,但血液标志物的下降提示纤维化活动可控。
临床意义:血液检测的优势与前景
本研究强调,无创血液检测比影像学更早反映纤维化风险。PRO-C3和PRO-C6源于成纤维细胞活化,能量化肺组织修复状态,避免依赖昂贵的CT扫描。作者建议将这类标志物纳入常规筛查,尤其对重症康复者,可及时干预纤维化进展。局限性包括样本量小和缺乏基线数据,但结果与既往特发性肺纤维化研究一致,验证了血液生物标志物的普适性。
这项研究证实,血清PRO-C3和PRO-C6是评估COVID-19后肺纤维化风险的可靠指标,其动态变化可为预后评估提供关键信息。随着全球COVID-19长期健康管理需求增长,血液生物标志物检测有望成为临床实践的重要工具,推动精准医疗发展。
参考文献
本研究原始文档详见:EUROPEAN CLINICAL RESPIRATORY JOURNAL 2025, VOL. 12, NO. 1, 2510032。数据开放获取,遵循CC BY-NC许可。如需更多PRO-C3和PRO-C6指标信息,请与荣志海达生物客服专员联系。
Beijing RZHD Biotech Co., Ltd.
北京荣志海达生物科技有限公司
Rm B12, 12th Floor, Changyin Bldg.No.88, Yongdi Rd, Haidian District, Beijing,China (100039)
中国北京市海淀区永定路88号长银大厦12层B12
TEL:+86.10.5889.5809 +86.10.5889.5646
QQ:2638046041
邮箱:sales3@rz-biotech.com
网址:www.rz-biotech.com

