哮喘是一个主要的全球健康问题,体重指数 (BMI) 是一个关键的风险因素。本研究旨在使用大规模、跨国数据调查BMI与45岁以上人群哮喘风险之间的潜在非线性关系。
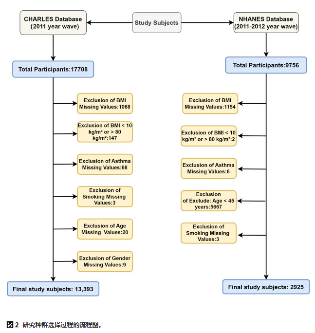
这项横断面研究利用了三个数据库:GBD 2021、中国健康与退休纵向研究(CHARLS;横断面数据来自2011年1月1日至 2011年12月31日基线调查)和全国健康与营养检查调查(NHANES;2011 年至 2012 年周期的横断面数据)。
包括年龄为 ≥45 岁的参与者,不包括 BMI、哮喘史、吸烟史、年龄、性别和 BMI 超过 10-80 kg/m2 的数据缺失的参与者。哮喘由 CHARLS 的自我报告和 NHANES 的医生诊断加上近期症状定义。
1、全球哮喘负担和高 BMI 是主要危险因素
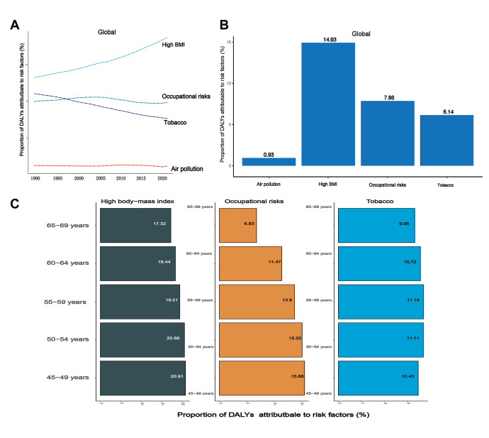
全球发病率估计为 3790 万例,年龄标准化发病率为每100,000 人 516.7 例。哮喘占 2140 万 DALY,年龄标准化 DALY 率为每100,000 人 264.6 人。估计与哮喘相关的死亡人数为436,193人,对应的年龄标准化死亡率为每 100,000人5.2 人。
根据 GBD 研究数据对与哮喘负担相关的危险因素进行了全面分析,强调了高 BMI 对哮喘的影响越来越大。1990-2021 年的时间趋势分析显示高 BMI 对哮喘负担的贡献显着增加。说明了四个风险因素对哮喘相关 DALY 的全球贡献,其中高 BMI 成为主要贡献者,占14.93%,其次是职业风险 、烟草使用 和空气污染。年龄分层分析进一步强调了高 BMI 在所有年龄组中的主导作用,在45-54岁年龄范围内达到约 20% 的峰值。该图突出了哮喘风险因素的不断发展,特别是高 BMI 在全球哮喘负担中的重要性日益增加。
图 1 BMI 是哮喘的主要危险因素 A. 哮喘危险因素的时间变化 B. 2021 年各种危险因素对哮喘相关 DALY 的贡献 C. 2021 年 45 岁及以上个体哮喘危险因素在不同年龄组中的成比例贡献。
2、CHARLS 人群中的 BMI 分层特征
CHARLS数据库研究人群 分为三个BMI三分位数,包括6267名男性和 7126 名女性。ChARLS 数据库的参与者选择过程如图2所示。其中,507名参与者 患有医生诊断的哮喘。对于所有变量,在 BMI 组之间观察到显著差异。较高的BMI与较年轻和女性优势相关。教育水平随着BMI的增加而提高,T3有58.29%的人受过高等教育,而T1有46.66% 的人受过高等教育低BMI组的吸烟率和饮酒率较高。值得注意的是,高血压和糖尿病的患病率随着 BMI 的增加而显著增加,而BMI最低组的哮喘患病率略有升高。

表 1CHARLS 中人口的基本特征。
3、NHANES 人群的 BMI 分层特征
NHANES 数据集包括 2925 名参与者,男性患病率为46.6%,女性患病率为53.4%。NHANES 数据库的参与者选择过程如图2所示。在这个队列中,13.4%的参与者根据自我报告的诊断和症状被确定患有哮喘。加权NHANES 数据显示,除教育外,大多数变量的BMI三分位数之间存在显著差异。较高的 BMI 与较年轻高血压、糖尿病和哮喘的患病率较高有关。T时BMI 最高的患者主要是女性和较低的结婚率。吸烟随着BMI的增加而减少,而饮酒在 BMI 最高的三分位数中最不普遍。
4、BMI 与哮喘的非线性关系分析
根据 CHALS 的数据说明了BMI与哮喘患病率之间的关系。在调整了年龄、性别、婚姻状况、教育程度、吸烟状况、饮酒量、高血压状况和糖尿病状况后,平滑曲线拟合揭示了BMI与哮喘患病率之间的 U 形关系。
通过分段回归模型进行进一步分析,确定了两个关键的 BMI 阈值19.9和29.9kg/m2。结果表明,在低 BMI 范围,BMI每降低一个单位,哮喘患病率就会增加28%。对于BMI在19.9至29.9kg/m2 之间的人,BMI与哮喘患病率之间的关系保持相对稳定,没有显著变化。
然而,对于 BMI 超过 29.9 kg/m2的人,BMI 每增加一个单位,哮喘患病率就会增加25%。这些发现表明,体重过轻和肥胖都可能增加患哮喘的风险,其中肥胖对哮喘患病率的影响特别明显。

BMI 与哮喘之间的非线性关系。A. U 形曲线显示基于 CHARLS 数据库数据与 BMI 相关的哮喘患病率。B. 使用来自 NHANES 数据库的数据进行平滑曲线拟合,说明与 BMI 相关的哮喘患病率。
根据 NHANES 数据描述了BMI与哮喘患病率之间的关系。在调整了人口统计学和健康相关因素后,该图显示哮喘患病率随着 BMI 的增加而显著增加。然而,进一步的分段回归分析揭示了 BMI 与哮喘患病率之间存在非线性关系,临界拐点为21.6kg/m2。在模型II 中,对于BMI值低于21.6kg/m2,BMI 每降低一个单位,哮喘患病率就会增加 20%。
相反,对于BMI 值高于21.6kg/m2,BMI 每增加一个单位,哮喘患病率就会增加5%。两个部分之间的效果差异具有统计学意义,第二部分显示哮喘风险比第一部分高 25%。对数似然比检验结果显著,表明分割模型的拟合度显著优于线性模型。这些发现突出了BMI与哮喘之间的复杂关系,表明较低的BMI可能会降低哮喘风险,而较高的BMI会显著增加哮喘的患病率。
5、CHARLS 和 NHANES 数据库的敏感性分析
为了验证我们研究结果的稳健性,我们对CHARLS和NHANES数据库进行了分层分析。在CHARLS数据库中,我们将体重指数分为三组BMI<19.9kg/m2,19.9≤BMI≤29.9 kg/m2和BMI>29.9 kg/m2。在亚组分析中,在所有三个 BMI 层中观察到一致的效应模式。具体来说,在BMI<19.9kg/m2 组中,几乎所有亚组分析都表明哮喘风险随着 BMI 的增加而下降。19.9≤BMI≤29.9kg/m2 组显示 BMI 与哮喘风险之间没有显著关联。相反,在BMI>29.9kg/m2 组中,哮喘风险随着 BMI 的增加而显著增加。
值得注意的是,通过 NHANES 数据库进行的平行分析产生了类似的趋势,进一步证实了我们的发现。对于 NHANES 数据,我们采用21.6kg/m2 的 BMI 阈值进行分层。对于 BMI<21.6kg/m2 的个体,哮喘风险随着BMI 的增加而降低,而对于BMI≥21.6 kg/m2 的个体,哮喘风险随着 BMI 的增加而增加。尽管 BMI 分类略有不同,但这种跨数据库的一致性增强了我们结果的可信度和普遍性。我们生成了一些 E 值来评估对未测量混杂的敏感性。主要发现是稳健的,因为它需要一个具有强相对风险的未测量的混杂因素来解释观察到的关联。
本研究阐明了45岁及以上人群BMI与哮喘风险之间的显著非线性关系,为量身定制的哮喘预防策略提供了见解,尽管横断面设计限制了因果推断。未来的研究应侧重于收集和分层纵向数据,并调整哮喘诊断时间以获得更准确的结果。

