点击蓝字 关注我们
蛋白质内含肽 (又称蛋白质内含子,Intein),作为一种特殊的多肽序列,潜藏于前体蛋白质的结构之中。它们具备独特的自我剪接能力,在前体蛋白向成熟蛋白转化的关键过程中,能够自主进行剪切,从而从前体蛋白中解放出来。在此过程中,内含肽巧妙地将肽链的两端通过肽键连接,完成了所谓的蛋白质剪接。自1987年在真菌生物 Neurospora crassa中首次发现内含肽以来,它们也存在于各种真细菌、古细菌和真核生物以及病毒和噬菌体中。内含肽是一种类似于内含子的遗传元件;然而,虽然后者负责剪接过程中的mRNA成熟,但内含肽与蛋白质一起被转录和翻译。由于内含肽在对多肽链的精确剪接与断裂反应中的关键作用,使得其在蛋白质的控制与修饰领域中的应用日益扩展。迄今为止,蛋白质内含肽在蛋白质工程学中扮演着重要角色,其在生物科学各领域的广泛应用潜力已逐渐显现,成为生物技术领域的一颗璀璨明珠。
典型的蛋白质内含肽分为8个模块,功能区分为含有A和B保守区的N端和含有G和F的C端功能区。从N端开始到C端依次为A、B、C、D、E、H、F、G,其中C、D、E、H属于自导引归巢核酸内切酶家族。微型内含肽均带有A、B、F、G保守区,一般由128~1309个氨基酸残基组成,大部分为160个左右氨基酸残基自导引归巢核酸内切酶(Homing endonuclease)活性在识别序列和功能上与核酸内含子(Intron)的自导引归巢核酸内切酶类似,具有位点特异性,可以在无Intein等位基因的双链DNA位点定点切割,引起Intein的插入。
蛋白质内含肽在蛋白质工程领域有着广泛的应用。这些应用包括蛋白质纯化、蛋白质连接、环肽制备等方面。其中,蛋白质内含肽在蛋白纯化方面的研究最为广泛和深入。
蛋白质纯化:内含肽在蛋白质纯化方面有广泛的应用,与其他亲和纯化系统 (如免疫亲和层析、金属螯合亲和层析) 相比,内含肽介导的亲和纯化系统可以诱导断裂反应的发生,使其在纯化的过程中除去纯化标签并得到不含任何外来序列的目标蛋白。同时,也避免了使用其他手段除去纯化标签的麻烦。
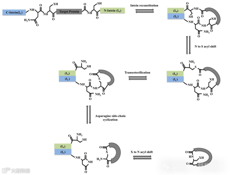
蛋白质连接:内含肽可用于蛋白质的连接,例如环肽的制备。环肽和蛋白质的生产是一个相对较新但迅速扩展的领域。在自然界中,环状分子并不少见;许多生物体产生具有广泛活性的环状分子,从抗菌到细胞毒性活性。环状分子的特点是其稳定性和耐化学性,以及它们对温度和酶降解的抵抗力。一个典型的例子是环孢菌素A,由微生物Tolypocladium inflatum产生。
内含肽作为一种高效的分子工具,在蛋白质生物技术领域展现出巨大的潜力和应用前景。自从其被发现以来,研究者们对内含肽触发剪接反应的内在机制的理解日益深入,这一进展促使内含肽在众多生物技术领域的应用日益增多。在蛋白质的生产过程中,内含肽的应用为获取纯化目标蛋白开辟了新的策略路径。通过重组表达技术,结合基于特定标签的高效提取程序,内含肽使得我们能够轻松获得纯蛋白,同时省去了传统方法中昂贵且繁琐的去除标签步骤,极大地提升了蛋白质生产的效率和经济性。
珠海舒桐科技可提供从密码子优化、载体构建到重组蛋白表达及纯化的大肠杆菌蛋白纯化服务,可以根据客户需求,选用不同表达标签、表达宿主,实现蛋白纯化的一条龙服务。如有需求,欢迎咨询!
关于舒桐
如需获得更多信息,请咨询我们:
电话:
400-6309596
15022705442(同微信)
企业官网:
http://www.generulor.com
产品订购/技术支持:
service@generulor.com

