点击蓝字 关注我们
技术简介与研究背景
Tech.
近年来,空间组学技术的快速发展使得研究人员能够在保留组织原位空间信息的同时,解析基因表达和表观遗传调控的异质性。然而,大多数现有技术仍局限于单一组学层面(如转录组或表观基因组),难以同时捕捉两者之间的空间关联。为此,耶鲁大学Rong Fan教授团队开发了两种革命性的空间多组学技术:空间ATAC-RNA-seq(spatial-ATAC-RNA-seq)和空间CUT&Tag-RNA-seq(spatial-CUT&Tag-RNA-seq),它们可同时对转录组和表观基因组进行全基因组范围的共分析,实现了在全基因组范围内同时原位检测染色质可及性(或组蛋白修饰)与基因表达。相关研究发表在杂志《Nature Protocols》上,题目为“Spatially resolved genome-wide joint profiling of epigenome and transcriptome with spatial-ATAC-RNA-seq and spatial-CUT&Tag-RNA-seq”。
本研究基于团队此前开发的DBiT-seq(Deterministic Barcoding in Tissue)平台,通过引入Tn5转座酶(用于ATAC-seq)或Protein A-Tn5融合蛋白(用于CUT&Tag),实现了在空间原位同时进行染色质标签化和逆转录反应,为研究发育、疾病和细胞异质性提供了强有力的工具。
空间ATAC-RNA-seq和
空间CUT&Tag-RNA-seq技术的核心优势
Tech.
同步检测:在同一张组织切片上同时获取转录组和表观基因组数据;
高空间分辨率:通过微流控芯片实现近单细胞级别的空间编码;
基因组覆盖全面:可检测全基因组范围内的开放染色质或特定组蛋白修饰;
兼容性强:适用于多种组织类型(如小鼠胚胎、人脑组织等)。
技术应用前景
Tech.
单细胞RNA测序(scRNA-seq)、单细胞ATAC测序(scATAC-seq)以及同时检测两种模态的单细胞多组学技术,已在多种样本类型(包括胚胎细胞、肿瘤及不同器官与组织)中得到广泛应用。单细胞CUT&Tag技术已在小鼠脑组织、人血液样本、胚胎干细胞及人脑肿瘤中实现应用,而批量CUT&Tag检测则已在更多样本类型中获得系统验证。因此,预期空间ATAC-RNA测序与空间CUT&Tag-RNA测序技术可广泛应用于生物医学研究领域,实现对转录组与表观基因组的无偏倚联合分析,从而深入解析两种模态之间的时空调控关系。
核心实验方法与主要结果
Tech.
实验流程概览
空间ATAC-RNA-seq和空间CUT&Tag-RNA-seq均始于冷冻组织切片的固定、透化处理。在空间ATAC-RNA-seq中,使用Tn5转座酶对开放染色质进行原位标签化;而在空间CUT&Tag-RNA-seq中,则先通过一抗/二抗系统靶向特定组蛋白修饰(如H3K27me3、H3K27ac、H3K4me3),再由pA-Tn5进行标签化。随后,通过微流控芯片依次加载两组空间条形码(BC_A和BC_B),实现对每个像素点(pixel)的转录组和表观基因组分子的双重标记。最后通过链霉亲和素磁珠分离cDNA和gDNA,分别构建文库。
图1 | Spatial-ATAC-RNA-seq与spatial-CUT&Tag-RNA-seq流程概览。
重要结论:
两种技术可在3–5天内完成文库构建,适用于多种组织类型;
通过微流控芯片可实现10,000个像素点的空间编码,覆盖面积大、分辨率高;
使用链霉亲和素磁珠分离策略可有效避免两类文库的交叉污染。
转录组与表观基因组的联合剖析
研究者通过结合空间-ATAC-RNA-seq与空间-CUT&Tag-RNA-seq技术,实现在单细胞分辨率下同时获取转录组与表观基因组数据。实验中,组织切片经过固定和渗透化处理后,分别使用Tn5转座酶和Protein A-Tn5转座酶标记开放染色质和特定的组蛋白修饰。反向转录生成的cDNA与空间条形码技术结合,确保了转录组和表观基因组数据的空间定位。
图2 | 文库结构与寡核苷酸引物序列设计以及文库可视化预期结果。
重要结论:
该方法能够高分辨率地联合分析转录组和表观基因组数据。
基因表达与染色质开放性、组蛋白修饰之间存在显著的空间关联性。
在不同组织区域,基因活性与表观基因组状态表现出明显的空间一致性,帮助解析细胞类型和区域特征。
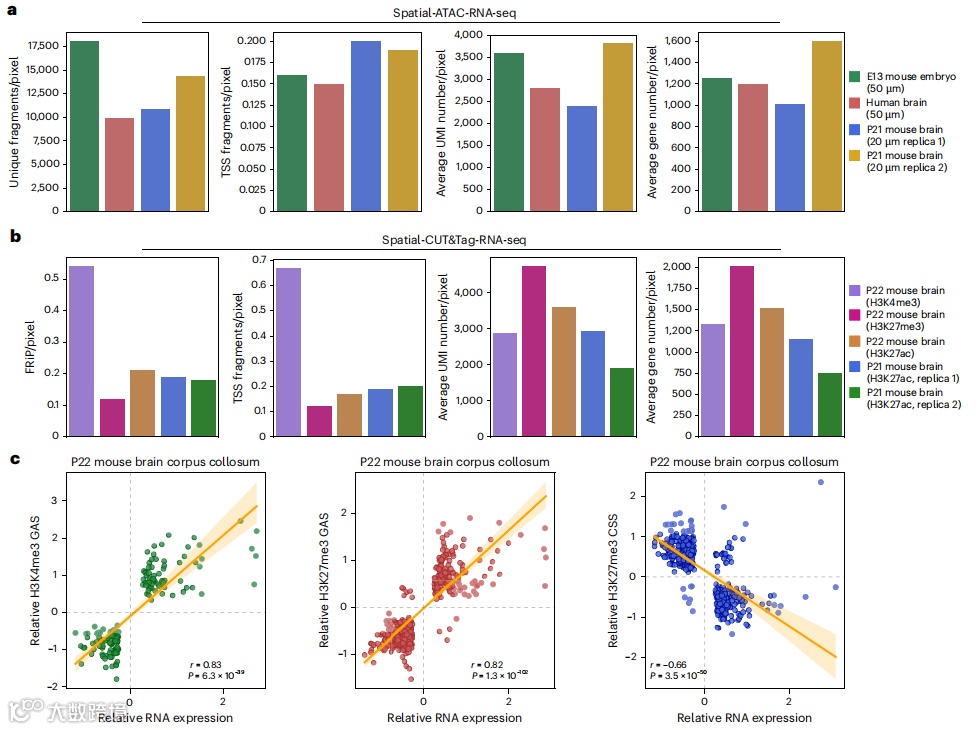
数据质量控制与多组学关联分析
研究者通过空间-ATAC-RNA-seq和空间-CUT&Tag-RNA-seq技术,成功地在单细胞分辨率下联合分析了转录组和表观基因组。实验中,组织切片经过固定和渗透化处理后,分别使用Tn5转座酶和Protein A-Tn5转座酶标记开放染色质和特定的组蛋白修饰。反向转录生成的cDNA与空间条形码技术结合,实现了精确的空间定位。分析表明,空间-ATAC-RNA-seq中,TSS区域的片段比例较高,且每个像素的UMI和基因数都达到了预期的标准,而空间-CUT&Tag-RNA-seq则揭示了H3K4me3等组蛋白修饰与基因表达的空间关联。
图3 | 空间ATAC-RNA-seq与空间CUT&Tag-RNA-seq数据质量控制
重要结论:
空间ATAC-RNA-seq每像素可检测到1,000–2,000个基因和2,000–5,000个UMI;
空间CUT&Tag-RNA-seq中,H3K4me3修饰显示更高的TSS区域及peak调用区域内片段的显著富集;
H3K27me3与基因表达呈负相关(染色质沉默评分CSS),H3K4me3/H3K27ac(基因活性评分GAS)与基因表达呈正相关。
空间聚类与差异表达分析
研究者通过对空间-ATAC-RNA-seq和空间-CUT&Tag-RNA-seq数据进行质量控制分析,进一步验证了这些技术在空间转录组和表观基因组联合分析中的有效性。在空间-ATAC-RNA-seq实验中,绝大多数片段集中在200-500 bp之间,且TSS区域的富集较高,表明转录组数据和染色质开放性有良好的空间匹配。而在空间-CUT&Tag-RNA-seq中,TSS富集分数较高,证明组蛋白修饰与基因表达的空间关联性。
图4 | 空间ATAC-RNA-seq数据集评估与分析。
重要结论:
空间-ATAC-RNA-seq和空间-CUT&Tag-RNA-seq技术能够高效捕捉基因表达与染色质状态的空间关系。
数据质量控制表明,空间-ATAC-RNA-seq有效识别了开放染色质区域。
空间-CUT&Tag-RNA-seq揭示了组蛋白修饰与基因活性之间的空间一致性,特别是在TSS区域。
技术总结与展望
Tech.
本研究提出的空间ATAC-RNA-seq和空间CUT&Tag-RNA-seq技术,首次实现了在空间原位同时解析转录组与表观基因组,为理解基因表达的时空调控机制提供了前所未有的多组学视角。这两种技术不仅适用于基础研究(如发育生物学、神经科学),也在肿瘤异质性、免疫微环境、疾病机制等转化研究中具有广阔前景。
然而,该技术目前仍存在一些局限性,如:
对RNA质量要求较高,尚未完全适配FFPE样本;
微流控芯片的制备和使用具有一定技术门槛;
对低丰度转录本和远端调控元件的检测灵敏度有待提升。
未来,随着微流控技术的优化、Tn5转座酶效率的提升以及数据分析方法的进步,空间多组学技术有望在单细胞分辨率、多模态整合、临床样本应用等方面实现更大突破。
关于舒桐
如需获得更多信息,请咨询我们:
电话:
400-6309596
18437963580(同微信)
企业官网:
http://www.generulor.com.cn
产品订购/技术支持:
service@generulor.com

