
为确保国际旅行健康安全,降低疫情跨境传播风险,根据7月20日中国民航局、海关总署、外交部发布的相关公告要求,现就在泰国实施赴华航班中、外籍乘客凭新冠病毒核酸检测阴性证明登机的具体办法通知如下:
一、总体要求
自2020年8月10日起,自泰国搭乘航班赴华以及经泰国中转乘机赴华的中、外籍乘客,须于登机前5天内完成新冠病毒核酸检测(非血清抗体检测),并凭核酸检测阴性证明申领带“HS”标识的绿色健康码或健康状况声明书。航空公司在乘客登机前予以查验。
二、检测时间及检测机构
核酸检测应于乘客登机前5天内(以检测报告出具日期为准)在中国驻泰国使领馆认可的检测机构完成。(检测机构名单:http://th.china-embassy.org/chn/sgxw/t1799768.htm)
三、中国公民申领健康码办法
中国公民应在获得核酸检测阴性证明24小时内,通过防疫健康码国际版微信小程序,申报个人情况并拍照上传核酸检测阴性证明。经中国使领馆复核通过后,当事人可获得带“HS”标识的绿色健康码。如需要,请点击以下链接:https://hr.cs.mfa.gov.cn/help_two/help-two/hs.html,查看“中国公民核酸检测证明申报常见问题解答”。
请注意在健康码有效期内乘机,并在登机前配合航空公司查验。建议届时同时携带纸质版核酸检测报告备查。
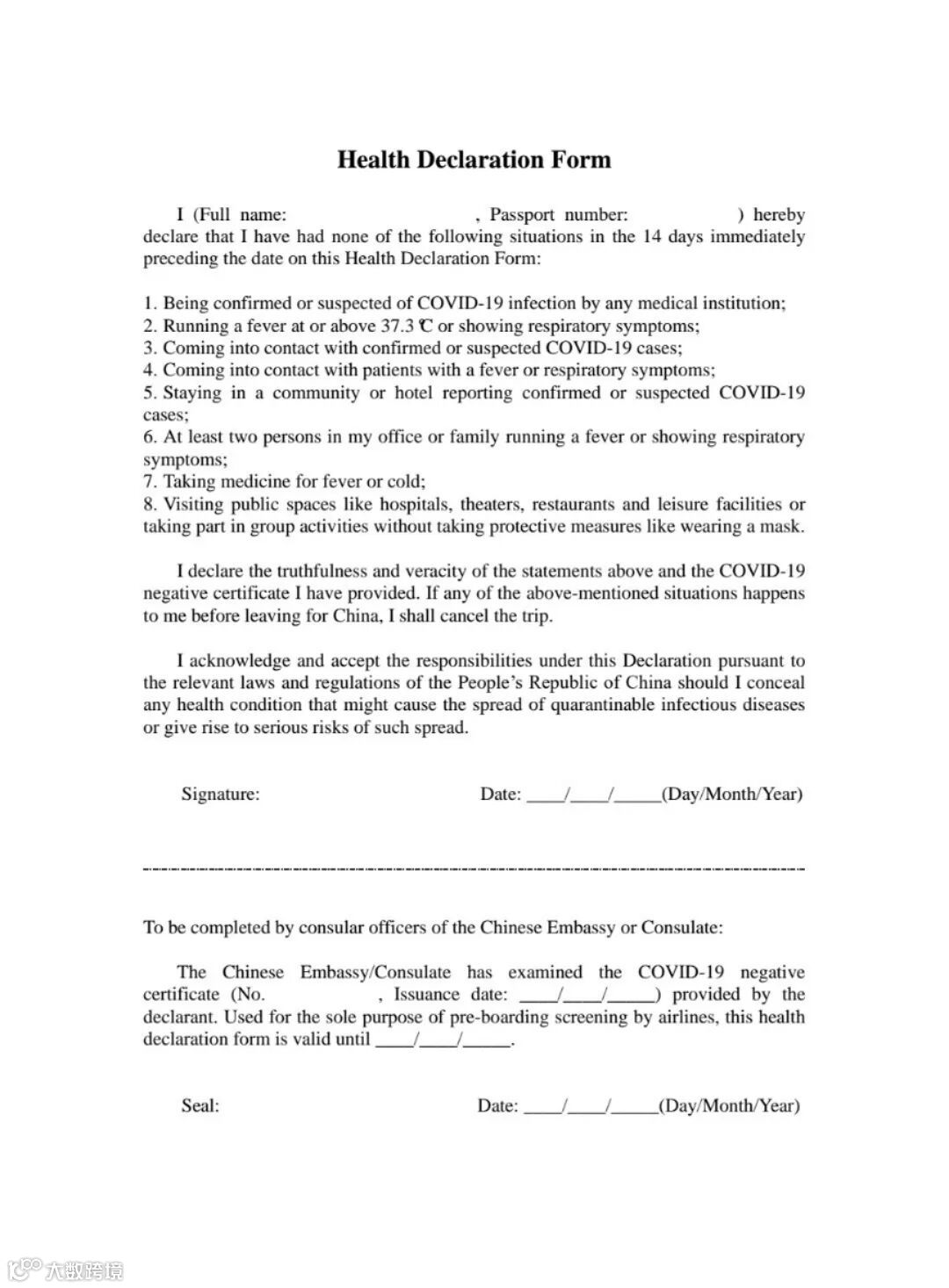
四、外国公民健康状况声明书办理办法
外国公民应在获得核酸检测阴性证明后,将有效护照资料页、检测阴性证明和申请人已签字的健康状况声明书(式样请见附件)的扫描件,发送至中国使领馆以下指定电子邮箱。中国使领馆审核通过后,以电子邮件方式将健康状况声明书扫描件发还申请人,请申请人自行打印并携带至机场。请注意在健康状况声明书有效期内乘机,并在登机前配合航空公司查验。
(一)中国驻泰国使馆 电子邮箱地址:chinesevisath@gmail.com
(二)中国驻清迈总领馆 电子邮箱地址:visa.cn.cm@gmail.com
(三)中国驻宋卡总领馆 电子邮箱地址:chinaconsul_skh_th@mfa.gov.cn
(四)中国驻孔敬总领馆 电子邮箱地址:visa.kk6@gmail.com
五、提醒
(一)请拟搭乘赴华航班乘客认真阅知本通知。如您无法及时完成核酸检测并获得检测阴性证明,登机前未能持有带“HS”标识的绿色健康码或有效健康状况声明书,说明您暂不符合乘机条件,需重新合理安排或调整行程。
(二)在已实施凭新冠病毒核酸检测阴性证明登机的国家(相关国家列表请点击链接查看:https://hr.cs.mfa.gov.cn/help_two/help-two/gj.html)中转,搭乘航班赴华的中、外籍乘客,在中转时亦会被查验带“HS”标识的绿色健康码或健康状况声明书。请确保健康码或健康状况声明书在中转时有效,否则将在中转地登机受阻,造成滞留等后果。
(三)中国驻泰国使馆提醒所有乘客严格遵守相关防疫法律法规,务必提供真实有效的核酸检测证明。伪造核酸检测证明将承担相应法律后果。
附件一:“防疫健康码国际版”微信小程序二维码

附件二:核酸健康码(绿码)

附件三:外国公民健康状况声明书式样(Health Declaration Form)

信息来源
中国驻泰大使馆
星暹传媒开启星暹快讯!关注公众号“星暹泰国”,我们将更快地为您带来更多的泰国新闻资讯!









