将我们设置为星标账号,获取对您有用的知识!
数学是一种强大的语言和工具,为我们理解世界、解决问题和创造新知识提供了不可或缺的手段!
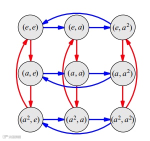
群论是数学中研究群的一门分支。
群是一种代数结构,它由一个集合和在该集合上定义的一个二元运算组成,满足四个性质,分别是封闭性、结合性、存在单位元和存在逆元。
具体来说,一个群G是一个集合,配备了一个二元运算(通常表示为乘法),满足以下性质:
封闭性:对于任意属于G的元素a和b,它们的乘积ab也属于G。
结合性:对于任意属于G的元素a、b和c,满足(ab)c = a(bc)。
存在单位元:存在一个元素e,对于任意属于G的元素a,有ea = ae = a。
存在逆元:对于任意属于G的元素a,存在一个元素b,使得ab = ba = e,其中e是单位元。
群论的研究涵盖了许多数学领域,包括抽象代数、数论、几何学等。群论在解决代数方程、几何问题以及物理学中的对称性问题等方面有广泛的应用。
[1] 内森·卡特,“群论彩图版”,机械工业出版社,2019.

首先,我们来了解一下什么是集合。集合可以理解为一组对象的集合。比如,你可以有一个水果的集合,里面有苹果、橙子、香蕉等各种水果。
集合有一些基本的性质,例如:
互异性(不同性):集合中的每个对象都是独特的,不会有相同的。
无序性:集合中的对象没有顺序,即你不能说某个对象在集合中的位置。
确定性:一个对象要么属于集合,要么不属于,没有模棱两可的情况。
我们还可以用图形来表示集合,用一个圆圈表示集合,里面的元素用点表示。比如,集合A={苹果,橙子,香蕉}可以用一个圆圈表示,里面有三个点分别表示苹果、橙子和香蕉。
集合论还包括一些基本的运算,比如并集、交集等。这些运算可以帮助我们处理集合之间的关系。
总的来说,朴素集合论是研究集合及其基本性质的数学理论,它为我们理解和处理各种数学问题提供了基础。
[1] Paul R. Halmos,“朴素集合论”,世界图书出版公司,2008.

映射可以简单地将其想象成一种关系,其中一个集合的元素与另一个集合的元素之间有特定的对应关系。这对应关系可以用箭头表示。
让我们来看一个简单的例子:假设有两个集合,集合A包含{1, 2, 3},集合B包含{apple, orange, banana}。现在,我们建立一个映射,将集合A的元素映射到集合B的元素,规定如下:
1 映射到 apple
2 映射到 orange
3 映射到 banana
你可以想象这个映射关系为从集合A的每个元素画一条箭头指向集合B的相应元素。这就是一个映射。
在数学中,我们通常用函数的概念来描述映射。一个函数是一种特殊类型的映射,其中每个输入元素(域中的元素)都有唯一的输出元素(值域中的元素)。
总体而言,映射是一种将一个集合的元素对应到另一个集合的元素的方式,它在数学、计算机科学等领域中都有广泛的应用。
[1] 阿德里安·班纳,“普林斯顿数学读本”,人民邮电出版社,2020.


