Characteristic mode analysis(CMA)最初是为解决和分析散射问题提出的。是微波射频工作中的一款强大的工具。对于不熟悉CMA的人来说,对特征模式 (CM) 的解释以及从特征特征值和特征向量中获得的物理见解是最重要的。
特征模式理论简介
cst中的CMA工具
As shown below👇
CMA理论简介
自由空间下入射波照射在孤立的PEC导体上时,会产生感应电流J。感应电流又会产生对应的散射场Es,入射场与散射的叠加形成了最终的总场E,


根据PEC表面的边界条件,最终总场在PEC表面的电场切向分量为零。

此时引入算子Z(●)将感应电流J与散射场Es联系起来。则有以下形式:

上式就是电场积分方程。
由于RWG(Rao-Wilton-Glisson)函数的特点,当其作为电流展开的基函数时,在三角形剖分网格的边界上不会有电荷的积累,而且电流也在边界上保持连续性,可以很好模拟电流的真实情形。

In是第n个基函数的加权系数。Zmn称之为阻抗矩阵,Vm称之为激励向量。
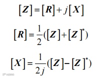
阻抗矩阵Zmm的实部和虚部可以表示为:

由于阻抗矩阵Zmn对称矩阵,因此矩阵[R]与矩阵[X]都是实对称的Hermitian矩阵,且矩阵[R]还是半正定矩阵。因此,我们考虑构建如下加权的特征值方程

这里vn是特征值,[W]为加权矩阵,[Jn]指特征向量。对于任意采用的对称矩阵[W],阻抗矩阵[Z]均能实现对角化,担当且仅当[W]=[R]时才能保证模式远场的正交性。因此,当选取[W]=[R]且令vn =1+j入,,上式可化为:

上式为广义特征值方程。
可以定义几个常见的特征模相关的参数:

其中,Vn^i为模式激励系数,MS为模式重要性值(Modal Significant),相较于特征值无穷范围内的取值,MS有时更容易观察。βn为特征角,相对于其他两个参数(特征值与MS),特征角还可以反映不同模式之间相位差,在圆极化天线的设计中有颇多的益处。
cst中的CMA工具
CST(Computer Simulation Technology)中的CMA(Characteristic Mode Analysis,特征模分析)工具是一个强大的电磁仿真分析工具,它用于分析电磁结构在无限大空间中的固有模式,即在没有外加激励源的情况下,结构本身所能支持的电磁模式。这些模式对于理解天线、滤波器、波导等电磁结构的基本电磁特性至关重要。


在CST中使用CMA工具进行特征模分析的大致流程如下:
建模:首先,在CST中建立待分析的电磁结构模型。
设置求解器:选择CMA求解器,并设置相应的求解参数,如频率范围、求解精度等。
运行仿真:运行仿真计算,CST将自动计算并输出电磁结构的特征模分析结果。
结果分析:分析仿真结果,包括模式谐振频率、模式场分布等,根据分析结果进行优化设计。
注意事项
模型:模型中不能有有损介质。
求解器选择:根据具体应用场景选择合适的求解器,以获得最佳的仿真效果。
参数设置:合理设置求解参数,以平衡仿真精度和计算时间。


