弛豫现象是指物理系统受到外界扰动(如电场、磁场或应力作用)后,从非平衡态逐渐恢复到平衡态的动力学过程。这一过程通常表现为某种物理量(如极化强度、磁化强度或应变)随时间或频率的延迟响应。在电磁学、材料科学和生物物理学中,弛豫行为广泛存在于介电材料、磁性材料和复杂流体中。
-
弛豫的数学描述 -
甘油中的弛豫行为 -
参考资料
As shown below👇
*弛豫的数学描述
弛豫过程常用复介电常数表示,其虚部反映能量损耗,实部反映储能能力:
其中 ω 为角频率。典型模型包括:
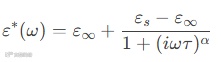
(1) 德拜(Debye)模型
适用于单一弛豫时间的理想情况:
εs :静态低频介电常数
ε∞ :高频极限介电常数
τ:弛豫时间(系统恢复平衡的特征时间)。
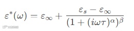
(2) 哈夫利夏克-内加米(HN)模型
描述非理想弛豫(弛豫时间分布或不对称性):
α(0<α≤1):弛豫时间分布宽度参数(α=1时退化为Debye模型)
β(0<β≤1):弛豫对称性参数(反映弛豫峰的非对称性)。
(3) 科尔-科尔(Cole-Cole)模型
HN模型的特例(β=1),仅描述对称展宽的弛豫:
*甘油中的弛豫行为
纯甘油:
仅显示单一的德拜型弛豫(低频),源于—OH基团的偶极子转向,弛豫时间 τ 较长(高黏度导致分子运动缓慢)。
甘油-水混合物:
由于氢键网络和微观异质性,弛豫过程复杂化,需用哈夫利夏克-内加米(Havriliak–Negami,HN) 方程或Cole-Cole模型描述多弛豫时间分布。水的加入会引入额外的弛豫峰(如水分子的快速转向弛豫)。
[1] P. M. Meaney, C. J. Fox, S. D. Geimer, and K. D. Paulsen, “Electrical Characterization of Glycerin: Water Mixtures: Implications for Use as a Coupling Medium in Microwave Tomography,” IEEE Transactions on Microwave Theory and Techniques, vol. 65, no. 5, pp. 1471–1478, May 2017, doi: 10.1109/TMTT.2016.2638423.


