MIMO(Multiple Input Multiple Output,多输入多输出)天线常用于通过减少多径失真来提高无线系统性能,从而提高系统的信道可靠性和数据吞吐量。MIMO 天线的频谱效率高于单输入单输出 (SISO) 天线。MIMO天线的性能评估需要哪些参数?
-
MIMO天线的性能参数
-
MIMO天线的作用
As shown below👇
MIMO天线的性能参数
衡量MIMO天线的性能的参数除了传统天线的参数之外还有MIMO自己的评估标准。
一般天线的参数有:S11参数/电压驻波比(VSWR)(评估带宽、反射),增益/方向性,效率,尺寸与波长、工作频率等等。
MIMO天线额外性能评估参数
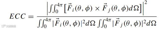
包络相关系数ECC(Envelope Correlation Coefficient):ECC是衡量通信信道彼此隔离或相关程度的性能度量标准。其标准值通常小于0.5,ECC值越小,表示天线之间的相关性越小,MIMO系统的性能越好。

分集增益DG(Diversity Gain):DG是另一个衡量MIMO系统性能的重要指标,它反映了系统通过分集技术提高信号质量和可靠性的能力。DG的标准值尽可能接近10dB,DG值越高,表示系统的分集增益越大,性能越好。

总有效反射系数TARC(Total Active Reflection Coefficient):TARC表示多个天线同时激励时的有效工作带宽。频带内TARC值低于-10 dB表示设计MIMO天线系统具有低反射损耗和良好的相位稳定性,从而确保可靠的信号传输。
信道容量损耗CLL(Channel Capacity Loss):在MIMO系统中,发射机和接收机之间的信道容量由于各个辐射组件之间的互耦合而经历显著的损耗。CLL是衡量这种容量损失的性能指标,其标准值通常小于0.4bit/s/Hz。CLL值越小,表示MIMO系统的信道容量损失越小,性能越好。


MIMO天线的作用
提高系统容量:MIMO天线可以利用空时编码技术,将多个数据流同时传输到接收端,从而提高系统的容量和数据传输速率。
提高系统可靠性:通过多个天线接收同一信号,MIMO天线可以提高系统的可靠性和抗干扰能力,减少信号衰减和干扰对通信质量的影响。
提高系统覆盖范围:MIMO天线可以利用多个天线发送同一信号,通过空间分集和信号叠加效应,提高系统的覆盖范围和信号强度。
降低功耗和成本:在某些情况下,MIMO天线可以利用多个天线共享同一频段,从而降低功耗和成本,提高系统的经济性和可持续性。


MIMO天线的设计需要综合考虑多个因素,并通过仿真和测试来优化系统性能。同时,通过衡量包络相关系数、分集增益、总有效反射系数和信道容量损耗等性能指标,可以全面评估MIMO系统的性能和效果。


