超材料是人工材料,具有自然界中没有的独特力学、光学、电学、磁学、热学和声学特性。一般来说,这些物理性质取决于精心设计的功能元件(称为超原子)及其几何排列。可重构超材料具有刺激响应机制,可以纵功能超原子的物理特性或其空间分布,从而促进可调材料或物理特性,以满足实际应用中的多种需。极化可重构天线通过减少通信系统中的极化失配来增强信道容量,在现代通信系统中有广泛的应用。使用或者加载了超材料超表面的天线因其灵活性而受到认可,在可重构天线领域引起了极大的兴趣。
-
机械可调超表面 -
极化可重构像素天线 -
参考资料
As shown below👇
机械可调超表面
通过机械地改变超表面单元的空间排列来实现可重构的超表面,由于弱近场相互作用,这些超原子通常被优化以表现出局部响应。
因此,在机械转换过程中,超原子的物理性质几乎保持不变。这种独特的特性允许采用适用于各种频带和材料系统的纯几何设计策略,因为控制空间排列与比例和组成材料无关。
机械可重构的超表面有可切换的传输特性,或波阵面整形应用,如可调极化偏转和光束重新聚焦。因此,开发有广泛应用的机械可调超表面的极化可重构天线很有前景。
如上图所示的,可通过旋转方形kirigami同步调谐三个自由度
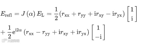
通过改变kirigami超表面中的几何取向角α,可以灵活地调整几何相位(也称为Pancharatnam-Berry相位,PB相位),为动态控制EM波提供了重要的自由度。通常,对于反射型超原子,其光学性质由琼斯矩阵表征,
当晶胞经历α的几何旋转时,Jones矩阵可以重写
其中,R是旋转矩阵。在琼斯矢量描述的左旋圆偏振(LCP)波的照射下,超原子的反射波被描述为:
极化可重构像素天线
像素天线因其灵活性而受到认可,在可重构天线领域引起了极大的兴趣 。例如,
使用合成方法实现的一种基于微机电开关 (MEMS) 的可重构像素天线,同时提供频率、方向图和极化多样性。
应用了遗传算法 (GA) 对频率可重构像素天线进行数值优化,其结构被描述为 N 端口网络,显著缩短了全波仿真的时间。
然而,采用“完全实现”的方法,二极管放置在每对相邻像素之间,导致更高的制造成本和插入损耗。
为了以最少数量的 PIN 二极管实现一定的多样性,进行了一定百分比的有用配置 (PUC) 分析。然而,这种减少开关的设计方案并未简化,这使得优化过程变得漫长且仍然依赖于手动作。
最近利用像素天线自动实现全极化分集的系统方法。基于 N 端口网络理论,无需进行密集的全波仿真,即可快速评估不同天线几何形状的性能。
对于特定的几何形状,可以计算端口处的电流
其中I和Z分别是网络的端口电流和阻抗矩阵。馈送向量V可以定义为
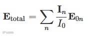
其中q代表馈电端口的索引。如果端口i打开,则阻抗矩阵的相应行和列将从原始阻抗矩阵中删除。相反,如果端口i短路,则这些元素将保留。重要的是要注意,应在馈电端口的相应对角线位置加入与同轴电缆特性阻抗等效的电阻器,以准确评估馈电端口处的电流。 一旦建立了网络的端口电流,就可以通过单位辐射方向图的线性叠加来计算总辐射方向图(远电场)
[1] W. Zheng, Y. Yang and H. Li, "Design of Polarization-Reconfigurable Pixel Antennas With Optimized PIN-Diode Implementation," in IEEE Transactions on Antennas and Propagation, vol. 73, no. 2, pp. 851-862, Feb. 2025, doi: 10.1109/TAP.2024.3475571.
[2] Jiang, G., Wang, Y., Zhang, Z. et al. Abnormal beam steering with kirigami reconfigurable metasurfaces. Nat Commun 16, 1660 (2025). https://doi.org/10.1038/s41467-025-56211-3


