当光从一种介质斜射入另一种介质时,存在一个特殊的角度(布儒斯特角),此时反射光会变成完全线偏振光(只有一个方向的振动),且反射光强度为零(即不反射)。传统布儒斯特角由材料本身的折射率决定,难以灵活调节,限制了其在可调光学器件中的应用。
-
#布儒斯特角(Brewster Angle, BA)的调控方法 -
二维材料优势
-
参考资料
As shown below👇
*布儒斯特角(Brewster Angle, BA)的调控方法
一、传统光学调控方法
通过改变介质的物理特性或界面结构实现布儒斯特角偏移,适用于宏观光学系统。
1. 多层介质膜堆叠
原理:在两介质界面引入额外的介电层(如 SiO₂、TiO₂),通过多层膜的折射率梯度改变反射系数相位,从而调节布儒斯特角。
2. 表面粗糙度调控
原理:通过纳米级粗糙度引入散射效应,改变界面处的等效光学参数(如有效介电常数),实现布儒斯特角偏移。
3. 各向异性介质调控
原理:利用晶体(如方解石)的双折射特性,通过光轴取向改变 TE/TM 偏振光的有效折射率,从而分离或移动布儒斯特角。
二、基于新型材料 / 结构的调控方法
利用二维材料、超表面等纳米结构的独特光学特性,实现大范围、动态可调的布儒斯特角调控。
1. 二维(2D)导电材料调控
核心机制:通过二维材料的表面电导率(实部)补偿反射光,虚部引入吸收效应,从而改变零反射条件对应的角度。
2. 等离激元超表面(Plasmonic Metasurface)
核心机制:利用金属纳米结构(如金纳米盘)的局域表面等离激元共振,设计等效表面电导率的频率 / 空间分布。
3. 介质超表面与广义布儒斯特效应
原理:利用高折射率介质纳米柱(如 Si、TiO₂)的 Mie 共振,同时激发电 / 磁共振,形成 “广义布儒斯特条件”(反射系数同时为零)。
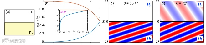
4. 动态调控技术电调控:石墨烯通过栅极电压改变载流子浓度,实时调节电导率(如论文中\(\sigma\)从 0→1 mS,对应偏移 7.8°)。光调控:利用光激发半导体超表面(如 Ge 纳米结构)产生载流子,瞬态改变等效电导率。热调控:相变材料(如 VO₂)通过温度切换金属 - 绝缘态,大幅改变电导率(变化量可达 3-4 个数量级)。*二维材料优势
一、表面电导率可调,实现大范围角度偏移
传统方法局限:传统布儒斯特角由介质折射率决定,调控手段(如多层介质膜、粗糙表面)通常只能实现小于 10° 的偏移(多数情况小于 5°)。
二维材料优势:
高电导率调控范围:二维材料的表面电导率可通过外场(如电压、频率)或结构设计灵活调节。
二、超薄结构,适用于平面集成器件
传统方法局限:传统调控手段(如多层介质膜)需微米级厚度,难以集成到平面光学系统中。
二维材料优势:
原子级厚度:石墨烯等二维材料仅为单原子层(~0.3 nm),等离激元超表面的金属纳米结构厚度可低至数十纳米(如论文中金纳米盘厚度 25 nm)。
平面化兼容:可直接集成于平面波导、光纤端面或硅基芯片表面,满足片上光学器件(如集成偏振器、调制器)的轻薄化需求。
三、宽频段适用性与功能多样性
多波段调控:
石墨烯:适用于太赫兹至红外波段,其电导率随频率变化呈现明显色散特性(低频以实部为主,高频趋近于零),可在0.1 THz 至 10 THz 范围内连续调节偏移角度(从 16° 降至 1.6°)。
等离激元超表面:通过设计共振频率(如 500 THz 的可见光波段),可在特定频段实现强共振响应,产生非单调的角度偏移特性(先增大后减小),适用于窄带光学器件。
多功能集成:二维材料可同时具备光学调控(如偏振、反射)和电学调控(如电导率调制)功能,例如:
石墨烯可通过电压动态调节电导率,实现主动式布儒斯特角调谐,适用于可重构光学器件。
等离激元超表面可结合非线性材料,实现光开关或频率转换等多功能集成。
[1] Yermakov, O. (2024). Shift of Brewster’s angle with two-dimensional materials and structures. Physical Review A, 109, L031502. DOI: 10.1103/PhysRevA.109.L031502


