特征模式分析 (CMA) 已被证明是分析和设计不同类型天线的强大工具。已经实现了大量基于 CMA 的天线设计,适用于各种不同的应用,包括移动天线、基站天线、笔记本电脑天线和可穿戴天线。在天线设计中利用 CMA 的最常见方法包括激励正交模式以获得良好的多输入多输出 (MIMO) 性能,以及组合多个模式以同时激励以增加带宽。
-
有损介电结构中CM的分析 -
CM在包含有损结构在内的应用 -
参考资料
As shown below👇
有损介电结构中CM的分析
将 CMA 应用于有损介电结构并非易事。需要正确定义用于查找特征值和特征向量(特征电流)的广义特征值方程,以保证获得的特征解是有用的和物理意义的,完全排除非物理的即所谓的杂散解。这对于具有高介电常数且具有高损耗的物体(例如人体)尤其重要。
假设电介质部分是均匀的,具有恒定的复频率相关介电常数。让SC 表示 PEC 零件的表面,并且SD 表示电介质的表面。假设L 是一个曲面积分运算符,可用于以以下通用形式表述问题:
其中A是结构表面上的未知电流密度,包括SC和SD,Ai是给定的入射场或激励。
CMA基于广义特征值方程的解
其中L是与假设相同的积分算子,M是要选择的加权算子,λn是特征值,An是相应的特征向量或特征电流。
有损结构CMA的要点是正确选择M,使获得的本征解具有物理意义。对于给定的算子L,应定义算子M,使本征解与辐射场相关。这保证了模的远场是正交的,复值特征值λn具有以下物理解释
其中Pradn、Preacan和Plossn分别是辐射的、无功的(存储在近场中)和模式的损耗功率。
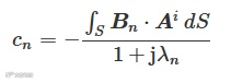
由于损耗仅对本征值的虚部有贡献,而无功功率对实部有影响,因此该公式允许将损耗功率与无功功率分开。 一旦特征值和特征向量可用,它们就可以用于扩展散射或辐射问题的解
具有适当归一化的特征向量An和Bn。其中,S是结构的外表面,包括PEC和介电部分,An和Bn分别是原始特征值方程的特征向量和用算子L和M的伴随表示的伴随特征向量。
对于自伴积分算子(厄米矩阵),向量An和Bn一致,模态展开式可简化为传统展开式。
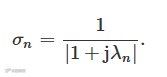
对于矩阵方程,伴随方程的特征向量对应于原始方程的左特征向量。用于研究CM及其特性的参数。在展开式中,分母包括项1+jλn,类似于PEC结构的相应展开式。因此,有损结构的模态意义可以与PEC结构类似地定义
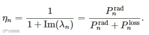
由于在有损情况下λn是复数,σn在共振时不会达到值1,就像在无损情况下一样。 模态效率(模式n下可获得的最高辐射效率)定义为
如果ηn接近1,则模式n对辐射的贡献最大。当ηn趋近于零时,模式为弱辐射器或损耗占主导地位。 PEC和介电结构组合的第三个有用参数是引入的模态耦合参数
其中η01和η02分别是背景和电介质物体的波阻抗,Jn和Mn分别是模式n的电流密度和磁电流密度。模态耦合参数κn定义了介电部分和PEC部分上的模态电流之比。PEC和电介质上同样强的电流表现为κn为1,小于1的值意味着PEC上的电流主导电介质上的电流。
CM在包含有损结构在内的应用
考虑一块矩形的石墨烯,其电导率由 Durbhakula 等人的方程给出,
归一化表面阻抗,Zs(ω)=σ(ω)/η,石墨烯的表面阻抗与频率的关系如下图所示,
电场平行于板的较长边 (Ex) 或短边 (Ey).在这两种情况下,波的传播方向 (kz) 垂直(法向)于板。ACS 在 0.98 GHz 和 1.25 GHz 附近表现出两个最大值。在这种情况下,消光截面以吸收为主,与 ACS 相比,散射截面可以忽略不计。
考虑损耗的特征模分析结果如下图所示,通过比较 CM 分析和散射分析的结果,观察到 EFIE-OG 的结果与散射分析结果的相关性比 EFIE-OH 的结果要好得多。
[1] R. Luomaniemi, P. Ylä-Oijala, A. Lehtovuori, and V. Viikari, “Designing Hand-Immune Handset Antennas With Adaptive Excitation and Characteristic Modes,” IEEE Transactions on Antennas and Propagation, vol. 69, no. 7, pp. 3829–3839, Jul. 2021, doi: 10.1109/TAP.2020.3044640.
[2] P. Ylä-Oijala, H. Wallén, and S. Järvenpää, “Theory of characteristic modes for lossy structures: Formulation and interpretation of eigenvalues,” International Journal of Numerical Modelling: Electronic Networks, Devices and Fields, vol. 33, no. 2, p. e2627, 2020, doi: 10.1002/jnm.2627.


