摘要:本文设计了一个工作于W波段的铁氟龙透镜阵列。天线的馈源为四个对角喇叭天线组成的天线阵,在此馈源上加载高度为5mm,半径12mm的透镜,使得天线的增益高于22dBi,副瓣(SLL)低于-18dBc,同时通过改变透镜距馈源喇叭天线的距离,实现半功率波束宽度从8°~12°的变化,以满足系统不同的需求。体现了透镜设计的可实施性和正确性,为透镜加载喇叭天线的设计提供了一种新颖的思路。
一、引言
使用透镜是一种常见的聚焦方法,包括介质透镜和金属加速透镜。国内外均对此项技术有所研究。文献[1]介绍了透镜天线的分类、工作原理和工程应用。文献[2]主要应用光学方法设计了一种基于圆锥喇叭的聚焦透镜天线,聚焦性能好,但透镜尺寸较小,加工成本高。文献[3]提出了一种多扇区介质透镜天线,介质采用扇形台阶的形式加载在喇叭天线口径的前端,可以进行相位补偿,并使得天线的方向性变好。文献[4]提出了一种多波束介质透镜天线的设计方法,易于加工,纵向尺寸短。文献[5]提出了一种W波段用于雷达测距的高增益透镜天线,实现了高增益,低副瓣。本文设计了一种透镜加载天线,有效降低了3dB波瓣宽度,提高了增益,符合3mm系统对天线尺寸的要求。
由于角锥喇叭馈源的多子阵分布,因此基于微透镜阵列原理,设计了3mm波段双极化透镜天线,天线性能良好。
二、透镜工作原理
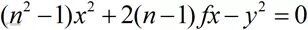
透镜汇聚电磁波的工作原理如图1所示。对于毫米波段电磁波,有着许多似光特性。当馈源波长与喇叭口径相比很小时,可将喇叭聚焦天线用光学模型近似来处理以降低设计难度。本文使用的介质透镜是单面透镜,单面透镜的一个面与波的等相位面相重合,因此垂直于该表面的波束入射不发生折射。透镜的形状要使得平表面上的场处处同相,也就是从点源至该平面上各点的所有射径都有相等的电长度。这是射径的电(或光)长度等同性原理(费马定理)。取单面透镜中心点Q和透镜表面任意一点P,可以列出关于电长度关系的等式为
,电磁波在均匀各向同性介质中传播时电长度L=ns,其中n为介质的折射率,s为几何长度。设P点坐标为(x,y),则电长度等式变为[6]

亦即
(1)
即为单面透镜剖面的曲线方程。因此为达到汇聚电磁波的目的,需要选取n>1的介质材料制作透镜,同时要求剖面曲线方程满足相应的双曲线方程。工程上认为介质折射率与频率无关,故光滑剖面的透镜可以工作在很宽的频带而不影响其性能。透镜的半径可由以下公式算出。
(2)

图1、透镜汇聚电磁波图
三、透镜天线仿真分析
本文设计的透镜天线工作的中心频率为f0,焦距f约为8.5mm,由于透镜反射的能量大小与介质的介电常数大小成正比,同时介质透镜对电磁波的聚焦能力与介质的介电常数成正比。故要合理选择透镜的介质。这里选择介电常数为2.08(折射率为1.442)的聚四氟乙烯材料teflon_based(即铁氟龙)。透镜的几何参数可由式(1)和(2)计算得出。
由于本系统中的馈源天线是四个对角喇叭天线构成的小型天线阵列,四个对角喇叭通过馈电相位的不同实现不同极化,其原理及馈电的初始相位如图2所示,其中2端口与4端口始终同相,1端口与3端口始终同相,当2、4端口馈电相位超前1、3端口90°时,合成左旋圆极化波;当1、3端口馈电相位超前2、4端口90°时,合成右旋圆极化波。图2中电磁波垂直纸面向外传播时,极化方式与馈电相位的关系如表1所示。

图2、端口馈电初始相位
表1、不同馈电下的极化方式
极化 \ 端口 |
1 |
2 |
3 |
4 |
左旋 |
0 |
90 |
0 |
90 |
右旋 |
90 |
0 |
90 |
0 |
使用如图3的单一透镜无法同时将四个喇叭中心与透镜中心线重合,使得透镜聚焦效果较差,且具有较大的反射,增益较低。为解决此问题,本文采用类似微透镜阵列的方法,设计的整个透镜的HFSS仿真模型如图3(a)所示。为使得仿真结果更具有真实性,将透镜的各个边作直径为6mm的倒角处理。为保证透镜能够很好的固定和支撑,制作一种铜质支撑结构,其模型如图3(b)所示。

(a)

(b)
图3、透镜天线HFSS仿真模型
对天线各个参数进行仿真后,优化得到了一个增益和副瓣电平对透镜距喇叭馈源距离最不敏感的透镜模型。以右旋圆极化为例,其归一化方向图如图4所示,很明显的,加载透镜没有对馈源相位造成影响。交叉极化水平较好,主极化的增益在加载透镜后从16.0dB增加至22.2dB。左旋圆极化的HFSS仿真结果与右旋的结果类似。

图4、归一化右旋圆极化方向图
取透镜最低点到喇叭口的距离为变量h,其归一化方向图随变量h的变化如图5所示。当h从9.2mm至12mm变化时,半功率波瓣宽度实现了从8°至12°的变化,变化趋势如图6所示。参数h在特定的区间变化时,半功率波瓣宽度随h的变化曲线近似满足双曲线函数,这将在下一步的研究中进一步的分析验证。

图5、归一化右旋圆极化方向图

图6、半功率波瓣宽度随变量h的变化曲线
加载透镜后天线的左旋圆极化和右旋圆极化的轴比如图7(a)(b)所示,天线在较宽的θ角度范围内都有良好的轴比特性,透镜对轴比影响较小。

(a)左旋圆极化轴比

(b)右旋圆极化轴比
图7、轴比特性
S11参数如图8所示,可以看出,在f0±3GHz这一较宽的频段内S11均在-17.5dB以下,透镜与喇叭天线具有良好的匹配特性。

图8、S11参数曲线
四、结论
本文主要基于光学原理,设计提出了一种3mm聚焦透镜喇叭天线,在对喇叭天线结构本身有固定要求的情况下,综合考虑结构和性能等因素,实现了天线高增益、低副瓣的特点。同时,仅通过改变透镜距馈源天线的距离实现了天线半功率波瓣宽度从8°至12°的变化。HFSS仿真结果与理论吻合良好,符合工程需求,且实用性较大。
作者:陆相成,北京理工大学
参考文献
[1] John D. Kraus, Ronald J. Marhefka, “Antennas: For All Applications ” 3rdedition 2004
[2]Tang Jianming, Zhao Qing, Zheng Ling, Liu Shuzhang and Luo Xiangang,”Theory and simulation of 3 mm conical horn focusing lens antennas”,2012,24(2):436-440.DOI:10.3788/HPLPB20122402.0436
[3] MU Hong-bing, LUO Yong, LIU Ya-jun, LIU Teng “Mode Dielectric Lens Loaded Antenna Working in Ku-band”, 2010,33(19):5-7.DOI:10.3969/j.issn.1004-373X.2010.19.002.
[4]Ding Xiaolei , Xu Lei, “Design of a Millimeter Wave Multibeam Lens Antenna”
[5] C. Migliaccio, J.Y. Dauvignac, L. Brochier, J.L. Le Sonn and Ch.Picho,”W-band high gain lens antenna for metrology and radar applications”ELECTRONICS LETTE RS 28th October 2004 Vol.
本文刊登于微波射频网旗下《微波射频技术》杂志 2017微波技术专刊,未经允许谢绝转载。
相关阅读:
MIMO OTA 入门基础:多天线终端测试方法的演进、理论与实践
微波射频行业人士 | 相聚在这里
【10大细分领域的微信技术交流群】
微波射频网已建立射频、天线、雷达、毫米波、手机射频、RFIC、功放、SDR等细分领域的技术交流群,提供一个互相交流的平台,促进技术进步。

长按识别上方二维码加群主为好友,说明:单位+技术方向,邀请您加入相应技术群!

