RF测试笔记是业界一线工程师通过理论和实践相结合的方式介绍射频微波测试技术的专栏,主要涵盖噪声系数、数字调制、矢网、频谱分析、脉冲信号等内容。如有想看到的内容或技术问题,可以在文尾写下留言。
1. 示波器带宽选择时的5倍法则
所谓5倍法则,就是为了保证信号的幅度测试精度,示波器的带宽至少要选择为信号频率的5倍!这通常针对于正弦波信号,因为其频谱只有一根谱线。而对于脉冲信号,由于理论上具有无数个谐波,通常将示波器带宽选择为所关注的最高次谐波频率的5倍。
为什么按照5倍法则选择示波器的带宽呢?如果不按照这个法则,对于信号幅度测试精度有多大影响呢?选择示波器带宽时,5倍法则主要适用于哪一类示波器?
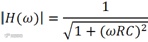
为了解释这些问题,首先需要了解一下示波器的模拟带宽。示波器的模拟通道具有低通滤波器的频率响应,带宽就是指该低通滤波器的3dB截止频率。如果测试一个频率与示波器标定带宽相同的正弦波信号,电压幅度测试结果将下降为真实电压值的0.707倍,如果用对数表示,则测量幅度将降低3dB。
可将示波器的模拟通道等效为一个RC低通滤波器,为了简便起见,此处只考虑一阶RC低通滤波器,其等效电路及幅频响应如图1所示。一阶RC低通滤波器的幅频响应表达式可写为:


图1. 一阶RC低通滤波器电路模型及其幅频响应
使得传输系数下降至0.707时的频率称为低通滤波器的截止频率,或者称为3dB带宽,据此可得

经计算得

代入幅频响应函数后得

由图1中的幅频响应可知,随着频率的不断提高,信号经过滤波器时的衰减越大,这也意味着测得的信号幅度误差越大。如何保证信号的幅度测试精度呢?
很明显,当示波器的带宽远远大于信号的频率时,才可以得到非常高的幅度测试精度。但是,示波器带宽越大,成本越高,实际选择时必须折中考虑成本和测试精度。业界通常采用5倍法则选择示波器的带宽,此时可以保证至少98%的幅度测试精度。
假设待测正弦波信号的幅度为1V,角频率为ω0,当测试精度不低于98%时,则满足如下关系式

进一步化简可得

这表明,当测试正弦波信号时,只有在示波器的带宽不低于正弦波信号频率的4.93倍时,才能保证至少98%的测试精度。为了方便,通常建议示波器带宽至少为信号频率的5倍,这就是5倍法则的由来。
表1. 测试不同频率的正弦波时对应的幅度精度

至于是否按照5倍法则选择示波器的带宽对测试精度有多大影响,在示波器带宽固定的情况下,表1给出了不同频率的正弦波信号对应的理论测试精度。显然,示波器带宽相对于信号频率越大,幅度测试精度越高!
选择示波器时必须要遵循5倍法则吗?可以肯定的是,带宽大是有好处的,尤其是针对于经济型的示波器而言(BW≤1GHz)。因为通常并不会对这类示波器的频率响应做相应补偿,其幅频响应平坦度并不好。而且,这类示波器模拟通道基本就是1阶RC低通滤波器的频响,如果要求98%的测试精度,就要按照5倍法则选择示波器带宽。
而对于中高端示波器,示波器内部通常都引入了模拟通道的补偿算法,可以得到比较平坦的幅频响应,因此,对于这类示波器可以不按照5倍法则进行选择。值得一提的是,对模拟通道的补偿并不会扰乱测试,相反,可以大大改善测试效果,提高信号保真度,尤其是针对于宽带信号以及高速数字信号的测试,这种补偿是至关重要的。
2. 示波器结合探头使用时,测试系统的带宽如何确定?
前面介绍了选择带宽时5倍法则的由来,接下来介绍当示波器结合探头使用时,整个测试系统的带宽由谁决定,并为下一步推导上升时间的级联公式做准备。
与示波器的模拟通道类似,探头也呈现为低通滤波器的频率响应。很明显,当示波器带宽远远大于探头带宽时,系统的带宽取决于探头;当探头的带宽远远大于示波器的带宽时,系统的带宽取决于示波器。
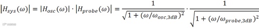
通常认为,测试系统的带宽和示波器及探头的带宽满足如下关系:

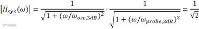
其实,当示波器带宽和探头带宽相当时,采用这个公式计算得到的系统带宽的误差是比较大的。示波器和探头构成的测试系统的幅频响应表达式为

类似地,当系统的传输系数下降至0.707时的频率即为系统的3dB带宽,这意味着

化简可得

如果将上式中的高次项忽略,则便可以得到上面的结论。


那么能否将高次项忽略呢?当示波器带宽和探头带宽差异较大时,高次项相对较小,是可以忽略的。二者带宽越接近,则忽略高次项带来的误差越大,当二者带宽相同时,使用上式计算的系统带宽的误差最大,可以达到25%的误差。但可以肯定的是,总体的系统带宽是小于示波器和探头带宽的!
尽管如此,对于中高端示波器和有源探头而言,由于可以对探头和模拟通道的频响做补偿,因此即使二者带宽相同,也可以满带宽使用。比如,示波器带宽为16GHz,探头带宽也为16GHz,则系统带宽也可以达到16GHz。而经济型示波器却没有这种补偿频响的功能,系统带宽会变窄,使用时要特别注意。
3. 按照上升时间选择示波器时的5倍法则
本节将首先介绍带宽与上升时间的关系,并给出理论推导;然后着眼于示波器和探头构成的整个测试系统,描述了系统的上升时间与示波器和探头的上升时间有着怎样的关系;最后道出结论,为了提高测试精度,建议采用5倍法则进行选择。
对于任意一个LTI (线性时不变)系统,当施加一单位阶跃信号时对应的零状态响应称为单位阶跃响应(简称为阶跃响应),该过程可以理解为其瞬态响应过程,响应的快慢取决于系统带宽,一般使用上升时间衡量。系统带宽越大,则瞬态响应速度越快,上升时间也越短。对于示波器和探头,亦是如此。
示波器和探头的上升时间与带宽之间具有怎样的量化关系?
示波器的模拟通道和探头均呈现为低通滤波器的特性,为了便于推导,此处假设二者均具有一阶RC低通滤波器的频响。
如果要确定上升时间,则需要从阶跃响应入手,一阶RC低通滤波器的阶跃响应为

式中,
为滤波器的时间常数,且
.
如果按照10%~90%的规则定义上升时间,则可以按照如下方法进行计算。
在t=0时刻,信号电压为0.
假设t1时刻,信号电压上升至0.1 V,则满足:
。
假设t2时刻,信号电压上升至0.9 V,则满足:
。
经计算可得上升时间为:

进一步化简得

对于低通滤波器而言,3dB截止频率即为3dB带宽,因此可以得到关于带宽与上升时间关系的经典公式:

该公式是基于一阶RC低通滤波器频响推导的,对于BW ≤ 1GHz的示波器和探头而言,基本都适用。如果是更高带宽的中高端示波器和探头,其通道依然相当于低通滤波器,但通常并不是一阶低通滤波器的频响,所以上述公式中的系数不再是0.35,而是位于0.4~0.45之间。
对于示波器和探头构成的测试系统,总体的上升时间如何推算呢?
前面已经介绍了测试系统带宽与示波器和探头带宽之间的关系,结合带宽与上升时间的关系,则整个测试系统与示波器和探头的上升时间满足:

也就是说,整个测试系统的上升时间恶化了。
对于待测的快沿信号而言,定义其等效3dB带宽为BWsignal,与上升时间也可以近似等效于上面的关系式。如果使用示波器和探头测试该快沿信号,则信号等效3dB带宽的测量值与测试系统的带宽近似满足如下关系:

再根据带宽与上升时间的关系,将上式进一步化简得

由此可见,实际测量的快沿信号的上升时间与系统的上升时间有很大关系。
通常推荐测试系统的上升时间不大于待测信号上升时间的1/5,以提高测试精度,这就是在快沿测试过程中的5倍法则!
表2. 不同的系统上升时间对应的测试误差

表2给出了测试某一快沿信号时,不同的系统上升时间对应的测试误差。系统上升时间相对于信号上升时间越小,则测试误差越小,测试精度越高。当系统上升时间为信号上升时间的1/5时,测试精度可以达到98%。这也是在该测试场景下使用5倍法则的原因!
为了进一步验证,分别将示波器的带宽限定为1GHz、500MHz和200MHz,测试同一快沿脉冲信号的波形如图2所示。当带宽不足时,测试系统上升时间增大,严重恶化了测试精度。

图2. 带宽分别限定为1GHz、500MHz和200MHz时测试同一快沿信号的结果
小结
本文描述并解释了在选择示波器时常用的5倍法则,该法则不仅适用于示波器带宽的选择,也适用于测试快沿信号时系统自身上升时间的选择。对于级联系统的等效带宽和上升时间,文中亦有描述。为了提高幅度和上升时间测试精度,强烈推荐采用5倍法则选择示波器。
作者:Knight
微波射频行业人士 | 相聚在这里
【10大细分领域的微信技术交流群】
微波射频网已建立射频、天线、雷达、毫米波、手机射频、RFIC、功放、SDR等细分领域的技术交流群,提供一个互相交流的平台,促进技术进步。

长按识别上方二维码加群主为好友,说明:单位+技术方向,邀请您加入相应技术群

