RF测试笔记是业界一线工程师们通过理论和实践相结合的方式介绍射频微波测试技术的专栏,主要涵盖噪声系数、数字调制、矢网、频谱分析、脉冲信号等内容。如有想看到的内容或技术问题,可以在文尾写下留言。
射频脉冲信号广泛应用于脉冲体制雷达中,对于从事相关领域的工程师而言,总是绕不开脉冲信号的测试。就射频脉冲信号而言,需要测试的参数比较多,诸如脉宽、周期等时间参数,峰值功率、平均功率等幅度参数,再复杂一点,还要关注chirp pulse、barker-code pulse 的频率和相位的变化趋势。这里我们不去过多地关注这些测试项目,业界主流仪表厂商均可以提供专业的分析工具。而是从基础的频谱着手,介绍在脉冲频谱测试中可能遇到的一些问题。本文主要面向刚刚从事相关工作的朋友,希望有助于更好地理解脉冲测试。
脉冲信号的频谱到底是什么样的?
这个问题在前面的小文“频谱分析系列:射频脉冲频谱及退敏效应简述”中已略有描述,产生射频脉冲信号的过程相当于AM调制,调制信号为基带脉冲信号。AM调制将使得基带信号的单边带频谱搬移至射频载波上,同时具有左右两个对称边带。
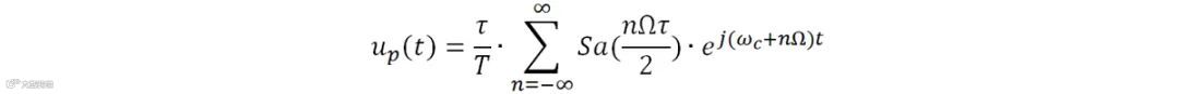
射频脉冲信号的傅里叶级数展开可以写为

式中,τ和T分别为脉冲信号的脉宽和周期,Ω=2π/T和ωc分别为脉冲信号的重复频率和载波频率,n为任意整数。
由此可见,射频脉冲信号包含的频率分量为(ωc+nΩ),理论上具有无穷多频率分量。正因为信号是周期性的,所以其频谱是离散的,相邻谱线频间距为Ω。Sa(x)函数决定了各个谱线的幅度,射频脉冲信号的频谱如图1所示,为了简便,图中只是给出了主瓣及部分幅度较高的旁瓣,其实左右两侧还存在很多边带,只是距离主瓣越远,幅度越低!

图1. 射频脉冲信号频谱示意图
使用频谱仪测试时,有时发现当设置不同的RBW时,测得的脉冲信号频谱不同,容易使人产生疑惑。脉冲信号频谱有包络谱和线状谱之分,包络谱如图1中虚线所示,线状谱即为图中的各个谱线所示。首先要明确的是,周期脉冲信号的频谱是离散的,之所以得到不同的显示结果,完全是由于测试仪表不同的设置,两种结果都是合理的。
RBW设置为多少,要视具体测试需求而定。如果测试脉冲信号的平均功率,可以显示包络谱,RBW需要设置大一些,大于1/T且小于1/τ,此时采用带宽积分法即可测试平均功率。如果测试脉冲相噪,则需要显示线状谱,RBW需要设置小一些,比如0.1/T。
脉冲信号频谱的第一零点位于何处?
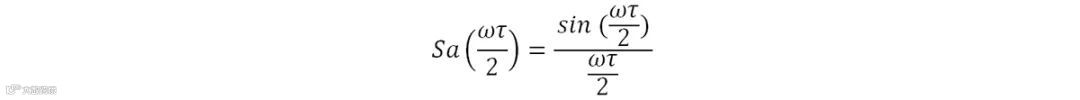
上面介绍了Sa(x)函数决定了各个谱线的幅度,Sa(x)是个特殊的函数,如图1所示,其具有无数个零点。对于基带脉冲信号而言,其双边带频谱以DC为中心,向左、向右每隔1/τ便出现一个零点。其中,距离DC的第一个零点频率为1/τ,因此又将其称为第一零点带宽。
令ω=nΩ,则函数Sa(ωτ/2)决定了图1中的虚线,其表达式为

当ωτ/2=±mπ(m=1,2,…)时,上式为0,这些频率都是其零点频率。
当m=1时,对应的就是第一个零点,此时可得

因此,脉宽决定了脉冲频谱的零点位置。在脉冲周期一定的情况下,脉宽越窄则第一零点带宽越大,整个频谱看起来“矮胖”;脉宽越宽则第一零点带宽越小,整个频谱看起来“高瘦”。
对于射频脉冲而言,频谱已经搬移至射频载波fc处,则第一零点位于fc+1/τ处。因为频谱左右对称,而且主瓣幅度占主要部分,在测试射频脉冲信号的包络时,推荐分析带宽至少为2/τ。这部分内容将在下面介绍。
实测脉冲信号的线状谱时,往往发现在零点频率处的幅度并不为0,这是因为实际的脉冲并不是理想的矩形脉冲,而以上公式推导都是基于理想脉冲信号这一前提的。
如何测试射频脉冲信号的平均功率?
此处所谓的平均功率是指考虑整个周期内的平均功率,如下图所示,PAVG,T 即是平均功率,PAVG 而为脉宽内部的平均功率,二者也存在一定的关系。如何测试呢?
大多数频谱仪都是扫频式频谱仪,不知大家测试脉冲频谱时是否留意到这种现象:当RBW设置比较大时,可以得到包络谱,但是包络谱一直在跳动。造成这种现象的原因是,频谱仪的扫描时间太短,不足以观测一个完整的周期,当手动增大扫描时间后,包络谱即可稳定。
如前所述,通过对脉冲的包络谱进行积分便可以得到平均功率,这就是所谓的带宽积分法测试信号平均功率。确定平均功率后,依据脉冲信号的占空比可计算脉内平均功率,二者关系如下:
PAVG=PAVG,T -10lg(τ/T)

图2. 射频脉冲信号的功率定义示意图
线状谱的中心载波功率是脉冲的平均功率吗?
正如小文“频谱分析系列:射频脉冲频谱及退敏效应简述”中所述,当显示线状谱时,中心载波的功率PCF 将比脉内平均功率PON,AVG 小一定的值,具体小多少取决于脉冲退敏因子20lg(τ/T)。
PAVG = PCF - 20lg(τ/T)
那么线状谱的中心载波功率是否就是其平均功率呢?这是一个容易混淆的点,很容易让人误解。实际上,线状谱的中心载波功率并不是平均功率。
根据上述脉内功率、平均功率及占空比之间的关系可得
PAVG,T = PAVG +10lg(τ/T)
而线状谱中心载波的功率为
PCF = PAVG +20lg(τ/T)
很显然PCF ≠ PAVG,T !
如何使用频谱仪测试射频脉冲信号的包络?
使用宽带功率探头、示波器及频谱仪均可以测试脉冲信号的包络,相应的原理并不相同,探头采用二极管包络检波器直接提取包络,示波器可以使用外部包络检波器或者直接采集再通过一定的计算得到包络,而频谱仪则是在宽带信号分析模式下测试脉冲包络。下面将介绍使用频谱仪测试脉冲包络的方法,主要针对于简单的射频脉冲信号,不考虑宽带chirp pulse。
目前绝大多数的频谱仪都具有一种称为“zero-span”的模式,这种模式下,频谱仪的内部本振不再扫描,而是固定在一个频率上,只要保证脉冲信号大部分功率能够通过后级的IF filter,那么就可以得到脉冲包络。其实,“zero-span”模式是一种特殊的宽带信号分析模式,分析带宽取决于RBW,RBW也决定了能够分析的最小脉宽。
假设要求射频脉冲位于fc±1/τ范围内的频谱全部通过IF filter时,则需要满足如下公式
2/τ≤RBW
τ≥2/RBW
则可分析的最小脉宽为2/RBW。这是常用的估算频谱仪在“zero-span”模式能够测试的最窄脉冲的方法。
考虑一个问题:“zero-span”模式下,频谱仪的中心频率必须设置为载波频率吗?
当然,推荐将频谱仪的中心频率设置为载波频率。如果设置的中心频率与实际载波频率存在一定偏差也是可以的,只要保证脉冲信号的大部分功率能够通过IF filter即可,依然可以得到不错的脉冲包络结果。
而且,为了便于测试脉冲包络,频谱仪在“zero-span”模式下往往可以提供触发功能,从而稳定包络波形。既得到射频脉冲的包络信号,便可以测试脉宽、周期、上升时间、脉内峰值功率、脉内平均功率等参数。
值得一提的是,分析带宽RBW决定了测试上升/下降时间的能力。市面上的频谱仪RBW通常在10MHz以内,如果对上升/下降时间测试精度有较高的要求,还是建议使用示波器进行测试。
测试脉冲信号频谱时,RBW和VBW如何设置?
RBW的设置主要取决于测试包络谱还是线状谱,这一点前面已有介绍。
对于线状谱测试,VBW的设置对频谱结果没有多大影响。但是当测试包络谱时,VBW不能小于RBW,否则会导致峰值功率偏低。这是因为Video filter是对通过IF filter信号的包络进行滤波,而测试包络谱时,同时会有多根谱线可以通过IF filter,其合成包络也有一定的带宽,如果超过了Video filter的带宽——VBW,则测试幅度必然偏低。此时,通常设置VBW不小于RBW即可。
如果测试射频脉冲信号的包络,由于包络具有非常宽的频谱,因此建议直接将VBW设置为最大,以避免带宽不够而造成的包络波形失真。
以上便是要给大家分享的内容,希望对大家有所帮助~~
小文虽短但不乏精华,希望大家持续关注“微波射频网”,后续精彩不断~
本期原创工程师:海川



