
from:IEEE Antennas & Propagation Magazine
(Vol. 61 / No. 1 / Feb. 2019, pp:29-40)
-- 文 前 --
这篇文章针对铁氧体在外置磁场下磁导率发生变化这个特点,探讨铁氧体在可重构天线中的应用。文中对铁氧体材料的选择,磁导率数学模型的建立等进行分析,给出铁氧体可重构天线的设计流程,以及样件仿真与实测结果的对比。
-- 正 文 --
概述:天线中的磁性材料
磁性材料一般是指相对介电常数和相对磁导率都大于1的磁介质材料。它可以用于天线的小型化——中等大小相对介电常数和相对磁导率的磁性材料即可达到高介电常数的普通介质材料的效果。人工磁介质具有色散特性,天线小型化后带宽窄;而具有低损耗、低色散特性的天然磁性掺杂材料,在天线小型化方面具有更广泛的应用前景。
现代通信系统要求天线可以适应各种信道条件,因而发展出多种可重构机制,包括开关切换,机械调节,或者利用可调材料(铁电体、铁磁体、液晶)等。选择合适的机制是实际应用前的重要环节,需要综合考量需求、价格和复杂度。本文主要研究铁磁材料——铁氧体,它可以利用简单、经济的方法改变天线特性(例如,在微带贴片天线外加静磁场即可改变谐振频率和极化)。通过控制天线基板的铁氧体掺杂量,可以在磁损和可重构程度之间折衷。
为紧凑器件中的铁氧体提供偏置磁场是一个重要课题。图1(a)中在天线外部加永磁体是一种常用方案,永磁体的大小与需要的磁场强度相关。图1(b)采用LTCC工艺将偏置线圈嵌在铁氧体基片中,这种内部偏置方案更有发展前景。另外还有研究利用自偏置磁性材料改善了天线性能。建立铁氧体可调性精确模型的关键是磁导率的数学描述。

图1 铁氧体天线的偏置磁场方案
铁氧体在天线中的应用
用于天线的磁性材料必须具有高阻特性。铁磁氧化物具有绝缘特性,且在偏置磁场下有独特的磁特性,是一种非常合适的材料。铁磁氧化物根据晶体结构可分为尖晶石、石榴石和六角铁氧体。尖晶石是在3-30GHz最常用的铁氧体,镍尖晶石可用于大功率;石榴石可用在1-10GHz;六角铁氧体则用于100GHz以下的高频。铁氧体一般具有高介电常数(10~20) 和低介电损耗(10e-4~10e-3),它的磁特性(饱和磁化、铁磁共振线宽、磁导率)与化学成分和微观结构相关。后二者由加工工艺决定,因此可以根据需求制作相应磁特性的铁氧体。
铁氧体是一种可划分成磁畴(magnetic domains)的多晶体材料。当不存在外置静磁场Ha时,这些磁畴的方向是随机的;当Ha>0时,磁畴逐渐沿磁场方向排布;当Ha足够大到使铁氧体达到饱和态后,磁化不再增加。
另外,外置磁场会使磁偶极按照一定的角频率w0沿自身轴线进动(Larmor precession),而射频磁场|hRF|<Ha会使磁偶极按w进动。可表示为式(1)

式中

表征磁偶极的阻磁特性。△H表示共振线宽(resonance linewidth),是材料的物理特性,反映因共振现象使铁氧体吸收微波带来的损耗程度。当w=w0时,这种能量耦合达到最大,称为铁磁共振(FMR)。
偏置的铁氧体与射频磁场的相互作用取决于Ha与hRF的夹角。铁氧体在外置静磁场Ha下表现的各向异性可由磁导率张量[u]表示如式(2)

式中各元素不是独立的。当Ha=0时,磁导率为各向同性的标量。
在本文的讨论范围,铁石榴石是最为合适的材料。它具有较低的抗磁性和饱和磁场,因此用较弱的偏置磁场即可使其饱和,其成本相对也较低。表2中所示为各种铁氧体的参数,其中钇铁石榴石(YIG)最为常用。

铁氧体磁导率模型
铁氧体的偏置磁场起“开关”作用。根据偏置磁场强度Ha的不同,铁氧体处于不同状态,磁导率模型也不同:
退磁态
当没有偏置磁场(Ha=0)时,式(3)广泛用于表示铁氧体的标量磁导率u

式中w表示工作频率,wm为最低允许工作频率,其大小与铁氧体材料固有的饱和磁场(4пMs)有关。当w<wm时,u为复数,铁氧体损耗很大。当w>wm时,u为实数,且当w>>wm时,u逐渐增大并趋近于1。图2所示为具有不同饱和磁场的材料磁导率随工作频率的变化,可以看出具有较小饱和磁场的材料,可以在更低的频率工作。

图2 具有不同饱和磁场材料磁导率随工作频率的变化
部分磁化态
当偏置磁场Ha>0时但没有使铁氧体磁化饱和时,铁氧体内磁畴的形状没有规律,描述磁导率模型更为复杂。早期模型是根据实验给出的经验模型,直到最后有了广义磁导率张量(GPT)模型,可以很好地描述偏置铁氧体在各种状态下的磁导率。
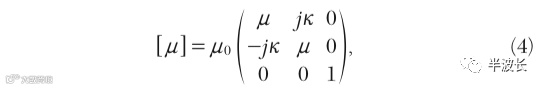
饱和磁化态
当铁氧体内的磁场强度H0>N*4пMs时认为铁氧体进入饱和磁化态,N为退磁化因子(demagnetization factors)。此时可以由式(4)描述磁导率张量

式中u和k皆为与工作频率相关的复数。图3所示为u和k随工作频率的变化曲线,如前文所述,当工作频率w与铁氧体内部磁场H0产生的进动频率w0相等时,发生铁磁共振,磁损耗达到最大值。

图3 不同内部场强H0会在不同频率发生铁磁共振,损耗最大
图4所示为不同的共振线宽△H对应的磁损耗。单晶铁氧体的△H较小,因此磁损耗仅在很窄的内部场强带宽内很大;而多晶铁氧体的△H较大,磁损耗在宽带内都较大。

图4 不同共振线宽在不同场强下的磁损耗
对于理想的铁氧体,内部磁场强度H0与外部偏置磁场强度Ha相等。而实际铁氧体会产生一个与H0相反的去磁化场Hd,使得

式中去磁化因子N是一个与材料形状和外置磁场方向相关的量。若将这两个相关因素也考虑进去的话,铁磁共振频率wr也需要做相应的修正。表3所示为不同形状对应的铁磁共振频率,差异相当明显。

综上,饱和磁化态下的磁导率张量是一个与偏置磁场的强度、方向,铁氧体形状、磁化特性等多个参数相关的物理量。
铁氧体可重构天线
设计仿真流程
图5所示为文中提出的铁氧体天线设计流程。铁氧体天线可分为两个工作状态:“关”状态(无外置磁场)和“开”状态(外置饱和磁场),分别对应一个设计流程。“关”状态利用式(3)确定磁导率后直接进行电磁仿真;“开”状态要首先分析在外置饱和磁场状态下铁氧体内部磁场的状态,然后利用式(4)确定磁导率张量后才能进行电磁仿真,若内部磁场各向异性,还需要分区计算。

图5 铁氧体天线设计流程
图6所示为铁氧体天线示意图。采用方形贴片天线形式,微带线耦合馈电。铁氧体材料选用YIG石榴石(相对介电常数=15,损耗角正切=0.0002,饱和磁场4пMs=1820G,共振线宽△H=18),嵌在贴片与馈电线之间的介质板(TLY-3)中。外置磁场垂直于介质板表面。

图6 铁氧体天线示意图
图7所示为天线仿真S11曲线。图中黑色虚线为“关”状态,天线谐振于5.68GHz;红色线为理想“开”状态,天线呈现双谐振特性(4.4GHz,5.25GHz);蓝色线为考虑了去磁化场Hd的“开”状态,两个谐振点均有明显偏移。

图7 仿真S11曲线
另外,在“关”状态下,天线为线极化;在“开”状态下,低频谐振点为右旋椭圆极化,高频谐振点为左旋圆极化。造成极化改变的原因是磁偏压与电磁场的相互作用。表4所示为天线性能汇总,在“开”、“关”状态下天线效率相当。

实验结果
图9所示为样件照片,图10为暗室测试照片。利用永磁体提供外置磁场,永磁体放置在天线地板后,通过调节距离控制磁场强度。

图9 天线样件

图10 测试照片
图11所示为测试S11曲线。“关”状态谐振于5.69GHz,“开”状态双频谐振,低频谐振点随外置磁场强度增强向高频偏移,而高频谐振点始终维持在5.35GHz。

图11 测试S11曲线
测试与仿真结果在“开”状态下的不同,是因为前面的仿真结果是在各向同性的理想内部磁场H0中获得的。实际中的铁氧体在永磁体提供的外置磁场下产生的内部磁场并非各向同性,因此需要对前面的仿真结果进行修正。图12所示为考虑了外置永磁体情况下磁场分布示意图,铁氧体内部磁场强度H0在平行于贴片天线方向是均匀的,而在垂直于贴片天线方向是变化的。

图12 磁场分布
文中对这种各向异性磁场进行了后仿真,由于铁氧体的剖面很低,因此对内部磁场变化采用取平均的方法,而没有分区计算。图13给出了后仿真S11曲线,在考虑了永磁体的各向异性特征后,仿真结果与实测结果吻合良好。

图13 后仿真S11曲线
图14给出了频率可调区域内的S11和轴比的变化。在低频端,天线为右旋椭圆极化;在高频端为左旋圆极化。图15给出了天线在“开”、“关”两个状态下仿真与实测方向图对比,“开”状态的增益比“关”状态下低约1dB。

图14 S11与轴比随调节频率的变化曲线

图15 仿真实测方向图对比(左为“关”状态,右为“开”状态)
结论
铁氧体材料的高阻性和磁特性使其可以用于可重构天线中。当施加外置磁场后,铁氧体材料变为各向异性,且磁导率变为张量(tensor)。天线中的电磁场与外置磁场引起的铁氧体内部磁场相互作用,使天线具有可重构特性。通过改变外置磁场可以控制天线的工作频率和方向图特性。
对铁氧体可重构天线的仿真重点有二:其一是描述铁氧体磁导率的数学模型,其二是铁氧体内部磁场的分析。
-- 文 后 --
来源:半波长(微信公众ID:half_wavelength)
1dB增益压缩点概述及测试



