5G及无线技术专栏主要介绍5G NR、LTE、WiFi等主流无线通信技术,由业界一线工程师执笔,结合理论与实践,既有标准解读,又涵盖链路仿真与测试,是不可多得的进阶学习平台。如有想看到的内容或技术问题,可以在文尾写下留言。
移动通信技术对数据传输速率要求越来越高。一种提高传输速率的思路是使用更高阶的QAM 调制方式,例如5G NR 的256QAM PDSCH,微波的1024QAM,2048QAM和4096QAM 调制。更高阶的QAM 调制方式对系统也提出了更高的要求。例如某个系统的EVM 测试结果为3%,这个EVM 算好还是不好,单纯从数值看似乎很好,但是EVM 的好坏与否不仅要看数值,还要看其调制阶数,不同调制阶数对EVM要求不同。直观来看,更高阶QAM 调制方式对EVM 有更高要求,但是具体要求是多少?例如对1024QAM 调制,EVM 要小于多少才能实现正常通信?本文主要讨论这个问题。EVM确定了,就可以指导系统信噪比SNR(SIGNAL NOISE RATIO)的指标分解和预算。
例如3GPP TS38.141对5G NR 不同调制方式的PDSCH EVM 要求如下表,从表中也可以看到随着调制阶数的提高,EVM 的要求在不断提高,这些EVM 是怎么定出来的?目前已经有客户开始测试1024QAM 的PDSCH,TS38.141 没有给出1024QAM 的EVM 要求,在测试的时候1024QAM EVM多少才算通过?本文将会给出答案。
表1、TS38.141对不同阶QAM EVM指标要求
| Modulation scheme for PDSCH | Required EVM (%) |
| QPSK | 18.50% |
| 16QAM | 13.50% |
| 64QAM | 9% |
| 256QAM | 4.50% |

图1、EVM定义
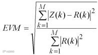
QAM 调制信号通常用其EVM 来衡量信号质量,EVM是英文Error Vector Magnitude缩写,意为误差向量幅度,其定义为误差矢量Error Vector 的幅度与参考信号Reference Signal 幅度的比值,有时候用百分比比表示,有时候用dB 表示。通常测量的EVM为其RMS 值,计算公式如下:

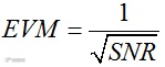
EVM 可以与信噪比SNR 相互换算,在星座图中,EVM 是以电压表示的,因而二者之间的换算公式如下,当然如果有编码增益,要在该公式中考虑编码增益,例如扩频增益。

2、不同阶QAM 信号对EVM 的要求
不同阶QAM 对信号的抗干扰能力是不一样的,数字调制信号调制方式越复杂,频率带宽利用率越高,调制方式越复杂,抗干扰能力越差,功率利用率低,也就是说接收时需要较高的C/N比,才能达到相同传输质量,选择调制方式需要根据通信系统在这两个方面折衷256QAM 的符号点间距离比BPSK 调制近的多,这意味256QAM 和BPSK 相比容易被干扰而造成误码。

图2、不同调制方式抗干扰能力
从EVM 的含义看,结合几种调制方式的星座图拿来看,如果要保证通信正常,也就是星座点不发生误判,则要求每个星座点的误差矢量幅度最大为0.5a(其中a 为相邻星座点之间的间距),即|E|max<0.5a,因而每个星座点需要落在以参考信号为中心,半径为0.5a 的圆内。由于不同星座点的参考信号幅度是不一样的,离原点最远的那个星座点对应的参考信号幅度最大,记为|R|max,则其可容忍的EVM 最小,即EVM_thre=0.5a/|R|max,只要所有星座点的EVM小于EVM_thre,就不会发生误判,即总的EVM 小于EVM_thre。下图中的A=0.5a,表示相邻星座点间距的一半。

图3、64QAM EVM_thre 示意图
比如64QAM,星座图可以看作是间距为a 的8x8 阵列,那么距离原点最远的那个星座点坐标就是(3.5a,3.5a),矢量长度为1.414x3.5a,为了不发生误判,允许的矢量误差要小于半个星座间距(0.5a),这时的EVM<0.5a/(1.414x3.5a)=10.10%,为了保证接收机正常解调,留有一定的余量,5G NR 协议TS38.141 将64QAM 的EVM 限值设定在9%,是合理的。
当然这种估算方法保证了所有星座点的都不会发生误判,由于距离原点近一点的星座点参考信号幅度会小些,其EVM 会大些也不会发生误判,假设所有星座点同时达到最大误差矢量|E|max=0.5a,同时所有星座点等概率出现,此时系统的EVM 达到容忍上限,EVM 再大就会误判。此时系统的EVM RMS 值成为EVMRMS_thre,只要EVM 小于改值EVMRMS_thre,则系统一定不会发生误判。

图4、计算不同QAM 调制方式下对系统EVM 和SNR 要求门限
通过图4 Matlab 代码就可以计算出EVMRMS_thre 和EVM_thre,并计算出了其对系统SNR 的要求值。不同调制方式下对系统要求的EVM 和SNR 门限如表2 所示。从表中可看出,调制阶数越高,对系统的EVM 和SNR 要求就越高。
表2、不同QAM 调制方式对系统EVM 和SNR 要求

以目前已经使用的最高调制阶数4096QAM 为例,其对系统的EVM 的RMS值要求小于1.91%,如果以最远点计算EVM 要求小于1.12%。如果将信号源和频谱仪直接相连,相当于在没有衰落的静态信道条件下,EVM RMS 值最好一般在0.2%左右,所以4096QAM 对EVM 的要求已经接近于硬件的极限水平。
3、实验验证
使用信号源产生一个4096QAM 信号,使用频谱分析仪进行解调。

图5、生成4096QAM 调制信号
在不额外增加噪声的条件下,FSW 的解调结果如图6,其EVM 很好,星座图清晰可见。

图6、不加噪声下FSW 对4096QAM 信号解调结果
根据表1 计算结果,4096QAM 对系统的EVM 要求必须小于1.91%,对应的SNR 为34.36dB。在上述信号基础上增加-34dB 的AWGN 噪声,此时加噪声后信号的解调结果如图8 所示,星座图已经接近于模糊和误判,对应的EVM 测试结果为1.56%,与理论计算1.91%还是比较接近。

图7、4096QAM 信号增加-34dB 的AWGN 噪声

图8、加-34dB 噪声下FSW 对4096QAM 信号解调结果
4、结论
更高阶的QAM 调制方式对系统EVM 和SNR 提出了更高的要求,系统的EVM 测试结果算好还是不好,不能只单纯看EVM 数值,还要看其调制阶数。本文计算了不同调制阶数下星座点不发生误判时对系统的EVM 和SNR 要求,具体结果参考表2,该结论可以理解调制阶数与EVM的关系以及对系统SNR的要求,可以用来指导系统设计和器件选型。



