初中物理就学过,电压又称电势差,即任意两个电势/电位的差值,一般认为无穷远处的电势为0,通常说的“电压”隐含条件就是相对于0电势的差值,但这个“无穷远处的0电势”太含糊了,实际电路分析的时候不可能去探测到它。好在电压跟绝对电势无关,它只是一个差值,因此我们可以任意选择电路中某一个电位作为参考基准点,人为规定它是0电势点,则这个基准点就称为“地”(Ground)。
人为定义好“地”以后,电路中任一点的电压就有了参考。说“电阻一端的电压是5V”,实际上是说“电阻某一端对地的电压是5V”,但如果说“电阻两端的电压是5V”,已经明确了是以电阻的某一端作为参考,并不以“地”为参考。
根据应用场合不同,又人为将“地”细分为“电源地”、“数字地”、“模拟地”、“射频地”,有很多文章和理论分析介绍应该如何处理电路中不同的“地”。本文仅浅谈一下自己对“射频地”的一些认识。
微带线回流的大小分布,如下图所示。电流分布在微带线的下方,且随着距离微带线正下方的距离越远,电流幅度越小。


两根平衡走线,如果靠的比较近,就会有一部分回流重叠,随着d的距离的增大,在距离d范围内的电流越多,其数据关系如下表所示。
表中也可以通过对S(d)积分,然后进行计算得到。比如对于d/h=2时,则在d=2h以外的电流即为:
与上表中吻合。按同样的计算方法,可计算出当d=5h/10h/20h时,分别对应的值为87.4%/93.7%/96.8%。




如果从这方面来看的话,整个射频板可能只需要打几个过孔就行了。不过,没有见过这样做的。一般射频板都是被打成筛子的。
在算出来的λg/20比较大的时候,我一般是选择2mm~2.5mm的间隔打,如果λg/20比较小,就适当减小间隔,但是需要保证:



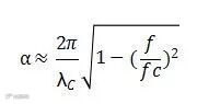
在文献[3]中,用波导截止频率的观点来阐述了这个现象。
当信号进入小的缝隙或者非谐振盒子时,可以用波导的截止信号的衰减公式来估算。
不过,我按照这个公式算下来的话,发现,如果是一排过孔,孔间距是2mm,孔的大小是0.3mm的话,算出来的经过过孔的衰减值才3.92dB,比我想象中的值小多了。这都有点让我不相信这公式的正确性。
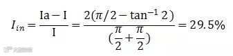
但是,当看到文献[4]时,我想,这公式可能是对的。文中,对下述原理图进行了仿真。
以下是仿真结果。发现量级也就在几个dB左右。隔离度还是主要取决于两个微带线的距离。
在给差分信号加保护地的时候,为了不破坏差分线之间的平衡关系,要求两边同时加地,而且要求地与差分线的距离至少要大于两倍的差分线的间距,这个还需要考虑信号到参考层的距离(H)。

举个例子来说吧。我们将对多层电路板进行射频线仿真,为了更好的做出对比,将仿真的PCB分为表层铺地前的和铺地后的两块板分别进行仿真对比;表层未铺地的PCB文件如下图1所示(两种线宽):

图1a:现款0.1016mm的射频线(表层铺地前)

首先将线宽不同的两块板(表层铺地前)导入仿真软件中,在目标线上加入50Ω端口。针对不同线宽0.1016mm和0.35mm, 我们的仿真结果如图2所示,图中显示的曲线是S21,仿真频率范围为800MHz-1GHz。

图2a:表层为铺地的S21(线宽0.1016mm)

由图中可以看到,在800MHz-1GHz的范围内,仿真的数据展示为小数点后一到两位的数量级,0.35mm的损耗要比0.1016mm的线小一个数量 级,这是因为0.35mm的线宽在该板的层叠条件下其特征阻抗接近50Ω。 因此间接验证了我们所做的阻抗计算(用线宽约束)是有一定作用的。
接下来我们做了表层铺地后的同样的仿真(800MHz-1GHz),导入的PCB文件如下图。



图4a:表层铺地后的S21(线宽0.1016mm)

由图中看到,仿真的数据显示,该传输线的线损已经是1-2 dB的数量级了,当然0.35 mm的损耗要明显小于0.1016 mm的。另外一个明显的现象是相对于未铺地的仿真结果,随着频率由800MHz到1GHz的增加,损耗趋大。
我们可以从仿真的结果中得到这样一个结果:
1.射频走线按50欧姆走,可以减小线损;
2.表层的铺地事实上是将一部分RF信号能量耦合到了地上,造成了一定的损耗。因此PCB表层的铺地应该有所讲究。尽量远离RF线。工程经验是大于1.5倍的线宽。
[1]Grounds for Grounding A circuit to System Handbook
[2] Southwest microwave,Optimizing Test Boards for 50 GHz End Launch Connectors
[3] Peter Vizmuller, “RF Design Guide: Systems, Circuits and Equations,” 1995, Artech House
[4] Application of Guard Traces with Vias in the RF PCB Layout
来源:电子汇
在线讲座:5G终端性能测试挑战与方法(4月29日)
重磅活动:产品研发副总裁、5G和卫星应用专家联合剖析最棘手的宽带毫米波测试(5月10日)
在线讲座:解读O-RAN测试挑战与方法(5月11日)
在线讲座:Massive MIMO O-RU 设计与一致性测试挑战(5月13日)
张跃平教授:无线电科学与技术中的因子4