同轴射频连接器是微波领域中重要的射频传输元件,在各类微波器件/组件、微波通信设备、仪器仪表及雷达系统中广泛应用。

近几年来随着无线通信和雷达技术的飞速发展,要想提升系统的发射距离,务必要提高系统的发射功率。射频同轴连接器作为整个微波系统的一部分,需要能够承受大功率能力的传输要求。同时射频工程师也需要经常进行大功率测试与测量,各类测试用的微波器件/组件同样也需要能够承受大功率的能力。
这些都对射频同轴接头功率容量提出越来越高的要求,功率容量也是评价射频同轴连接器质量好坏的重要指标,那么对于射频同轴连接器的功率容量大家了解多少呢?
射频同轴连接器的功率容量是一个比较复杂的问题,对它能够产生影响的因素很多,且部分因素会相互影响,主要包括:接头尺寸(含针孔尺寸)、工作频率、主体材料、绝缘介质的材料、接触可靠性、接触电阻、电压驻波比、环境温度、海拔高度等。下图是Megaphase给出的不同射频接头在不同频率下的功率容量推荐值,大家可以在设计射频产品时根据产品工作频率和承受功率来选择合适的接头。

rf connector power handling 射频连接器功率容量表 来源:Megaphase
接下来我们来详细介绍一下影响射频同轴连接器功率容量方面的各个因素。
接头尺寸
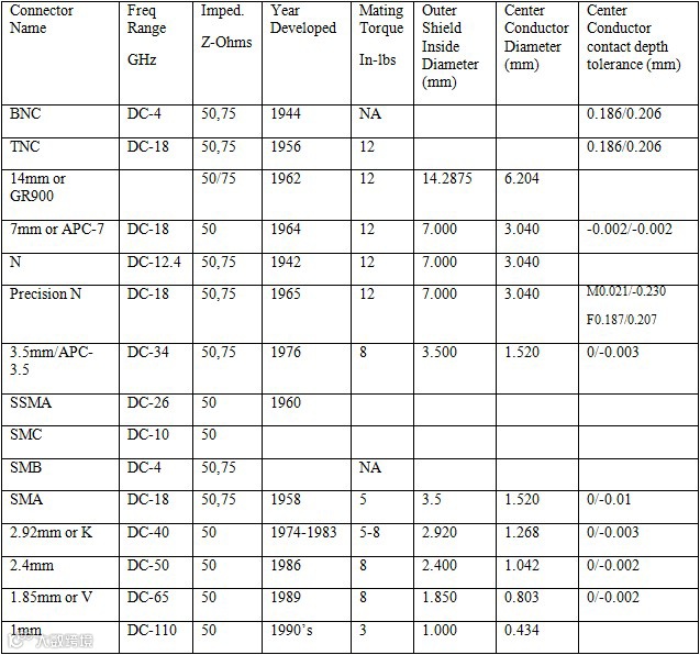
对同一频率的射频信号,尺寸大的接头的功率承受大。比如接头针孔尺寸关系到连接器的电流容量,直接关系到功率。在各种常用的射频同轴接头中,7/16(DIN)、4.3-10、N型接头尺寸相对较大,对应的针孔尺寸也较大,一般N型接头的功率承受约为SMA的3-4倍。加上N头更常用,这也是市面上销售的200W以上衰减器、负载等无源器件大部分都是N型接头的原因,大家通过RFbuy射频商城可以很方便的查询大功率负载、衰减器等无源微波器件。
射频同轴接头的功率承受会随信号频率变高而降低,传输信号频率的变化直接导致损耗和电压驻波比变化,从而影响到传输功率容量,还有趋肤效果等。例如一般的SMA接头,在2GHz的功率承受约为500W,在18GHz下的平均功率承受不到100W。通过RFbuy射频商城查询,频率高于18GHz的衰减器、负载等无源器件,平均功率承受大部分都在100W以内。针对毫米波的频段,像1.85mm 67GHz固定衰减器在平均功率承受10W以内,1.85mm 67GHz负载平均功率承受在22W以内。2.92mm的衰减器和负载可以选择的就比较多,平均功率承受最高可达100W。
RF 连接器在设计时规定了一定的电长度,在有限长度的线路中,特性阻抗和负载阻抗不相等时,从负载端有一部分电压和电流,被反射而回到电源侧的波,称为反射波;从电源到负载的电压和电流称为入射波。入射波和反射波的合成波,被称为驻波。驻波的电压最大值和最小值之比,称为电压驻波比(亦可成为驻波系数)。反射波占用通道容量空间,致使传输功率容量降低。
插入损耗(IL)是指由于RF连接器的引入导致线路上功率的损耗。定义为输出功率与输入功率之比。使连接器插损增大的因素很多,主要有:特性阻抗的不匹配、装配精度误差、配合端面间隙、轴线倾斜、横向偏移、偏心、加工精度及电镀等所造成。由于损耗的存在使输入与输出功率之间存在差别,也会影响承受功率。
气压变化导致空气段介电常数产生变化,且低压时空气易电离产生电晕。海拔高度越高,气压越低,功率容量越小。
RF连接器的接触电阻是指连接器插合时内外导体接触点的电阻,一般在毫欧级,数值应尽量小。它主要考核接触件的机械性能,测量时应去除体电阻、焊点电阻的影响。接触电阻的存在会导致接点发热,从而难以传输较大功率的微波信号。
以上所述功率承受指连续波功率,如输入功率为脉冲则功率承受还要高些。由于以上原因均为不确定因素,且会相互影响,没有公式可以直接计算,故单独连接器一般不给出功率容量值指标,只有在衰减器、负载等微波无源器件的技术指标中才会标定功率容量及瞬时(小于5μ秒)最大功率指标。注意如果传输过程的匹配不好,驻波过大,则接头上承受的功率有可能大输入功率。一般为安全起见,在接头上加载的功率不应超过其极限功率的1/2。
点击名片关注我们-学习更多干货知识
点击“阅读原文”即可参与互动评论