|
|
|
|
|
|
|
|
|
|
相控阵天线有源驻波测试 The Active VSWR Measurements of Phased-Array Antenna |
|
|
|
|
|
|
|
||
|
|
|
|
|
|
摘 要 天线在实际工作时,除了辐射信号,由于自身的原因会在其端口存在驻波,而相控阵天线的天线单元间还存在互耦效应,使得天线的驻波增大,会对发射机功放组件造成一定损坏。因此在设计相控阵天线时,必须考虑此驻波及其影响。针对相控阵天线有源驻波测试的需求,提出利用多通道相参信号源模拟相控阵实际扫描状态,从而进行相控阵辐射状态下的有源驻波测试。 关键词 相控阵天线,多通道信号源,有源驻波 |
|
|
|
|
|
|
|
|
|
|
|
Abstract: Antenna has standing wave when radiating signals, and there is mutual coupling between units of phased-array antenna, which increased the standing wave and does great harm to the power amplifiers of the transmitter. Therefore, the effects of standing wave need to be taken into consideration when designing a phased-array antenna. According to the requirements of active VSWR test of phased array antenna, a multi-channel coherent signal source is proposed to simulate the actual scanning state of phased array antenna to test the active VSWR under the radiation state of phased array. Keywords: Phased-Array Antenna, Multi-channel Signal Generator, Active VSWR |
|
|
|
|
|
|
|
1 引言 |
|
相控阵天线处于工作状态(发射或者接收)时,天线单元之间存在一定的电磁能量耦合,即互耦效应。互耦效应的存在改变了天线单元的阻抗特性,影响了阵列天线的波束形状和增益。互耦效应引起天线单元失配,从而产生的驻波在降低了天线辐射功率的同时却增加了T/R设备组件的承受功率,对T/R组件的安全性也是一大隐患。
因此,相控阵天线的有源驻波参数是相控阵天线性能的一个关键指标。考虑到阵列天线的多样性和缺乏统一有效的理论模型,想通过理论精确计算得到有源驻波参数非常困难。传统的测试系统又不具备多通道有源驻波测试能力,本文建议的相控阵天线有源驻波测试,利用多路相参信号源的幅度相位变化,重现相控阵天线扫描时的实际工作状态,通过计算机控制完成对相控阵天线有源驻波参数的快速准确测量。
|
|
|
|
2 有源驻波概念 |
|
|
互耦效应引起的有源驻波参数可以采用单元间耦合系数的散射矩阵法进行分析,它对任何形式的阵列单元结构都适用。具有n个阵元的阵列可以看成是n端口网络,设n个端口上进波和出波分别为a1,a2,…,an 和b1,b2,…,bn ,它们之间的散射关系可表示为
(1) Sij就表示第i单元和第j单元之间的耦合系数,该方程全面考虑了n个进波对n个出波的所有可能的影响,具有一般性。 若用矩阵方式,方程(1)可写为
(2) 式中a=[a1a2…an]T表示进波矩阵,b=[b1b2…bn]T 表示出波矩阵,S是散射矩阵(或S矩阵)。存在互耦效应时,在有源S参数矩阵里,第i单元的反射系数Ri定义为为阵列中所有单元在第i单元上的总出波除以第i单元的进波,因此,有
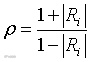
(3) 第i单元的驻波比由下式给出
(4) 表达式(4)给出了第i个单元的有源驻波参数(i=1,2,…n)。阵列天线中单元的阻抗包括自阻抗和互阻抗,表达式(3)中当j=i 时,反映了单元的自阻抗特性,时,反映了单元的互阻抗性能,即互耦效应引起的单元反射量的大小。如果没有互耦效应,Ri仅表示自阻抗,方程(4)的驻波比也仅表示无源状态下的阵列天线单元的驻波性能。 |
|
|
3 测试系统实现 |
|
|
根据有源驻波测试系统测试要求,系统组成如下图所示:
测试系统实现的核心为多路相参信号源,笔者使用的是中星联华的多路相参信号源,此信号源中每路输出信号的幅度/相位可以精确调节,这样各路激励信号可以加到被测相控阵单元的各端口,从而模拟相控阵天线在实际工作时的扫描状态。 通过双定向耦合器分别将各端口的入射信号和反射信号提取出来,通过多通道幅相接收机分别测试得到相控阵天线各端口在不同扫描状态下的端口驻波,也就是有源驻波。 为了精确测试,在测试之前可以利用校准件对整个系统进行矢量校准,利用误差修正算法得到系统误差,保证整个测试系统的测试精度。 相控阵天线有源驻波系统测试可以模拟相控阵天线动态扫描时阵列各单元上在加有真实激励情况下的有源参数,其主要功能如下:
|
|
|
4 结论 |
|
|
有源驻波测试系统利用中星联华的多路相参信号源精确的幅度相位调整功能,模拟相控阵天线实际波束扫描状态,可以精确的测试出相控阵天线工作状态下的驻波、互耦等有源参数,为相控阵的调试、优化提供便利。 |
|
参考文献
1 学术著作:张光义,相控阵雷达原理.出版地:国防工业出版社,2009.12.134-147
2 产品手册: 中星联华科技(北京)有限公司.多通道微波信号源,2021

每天分享干货资料和最新活动
射频微波芯片设计专栏
RF测试原创笔记
微波仿真原创笔记
学个Antenna
5G及无线技术专栏
射频器件测试测量
天线测试那些事

