作者简介
樊晨瑞
北京师范大学人工智能学院博士研究生在读,主要从事量子计算等方面的研究工作。
袁为
北京玻色量子科技有限公司总监,主要从事相干伊辛机的工程和研发等工作。
马寅
北京玻色量子科技有限公司首席运营官,主要从事相干伊辛机的工程和研发等工作。
杨大全
北京邮电大学信息与通信工程学院教授,主要从事集成光学芯片和量子传感方面的研究工作。
文凯
北京玻色量子科技有限公司首席执行官,主要从事相干伊辛机的工程和研发等工作。
王川
北京师范大学人工智能学院教授,北京玻色量子科技有限公司首席科学家,主要从事量子计算等方面的研究工作。
论文引用格式:
樊晨瑞, 袁为, 马寅, 等. 相干伊辛计算的研究与应用进展[J]. 信息通信技术与政策, 2024, 50(7): 76-84.
相干伊辛计算的研究与应用进展
樊晨瑞1 袁为2 马寅2 杨大全3 文凯2 王川1,2
(1.北京师范大学人工智能学院,北京 100875;
2.北京玻色量子科技有限公司,北京 100015;
3.北京邮电大学信息与通信工程学院,北京 100876)
摘要:随着人工智能技术的快速发展,与之相关的各种行业都产生了海量的算力需求。低能耗光计算和量子计算成为未来高速、大数据量处理极具前景的方案,相干伊辛计算作为其中的典型计算技术,受到了研究领域和产业界的广泛关注,近年来取得了一系列重要的研究进展。相干伊辛计算利用光学参量振荡脉冲作为量子比特,在运行中可以搜索出伊辛模型基态时的自旋构型,从而能够提升求解组合优化问题的计算速度和正确率。通过纠错改进后的相干伊辛机可以逃离局部极小值的限制,在大规模组合优化问题上的测试结果也超越了部分经典算法,为多种组合优化问题的解决提供了新的发展方向。
关键词:相干伊辛机;光学参量振荡;组合优化问题
0 引言
信息化在全球的发展速度与日俱增,信息类产品和服务已经融入社会的各个方面,信息产业成为世界各地竞相投资、重点发展的战略性产业。信息技术的发展需要人工智能、大数据、云计算、区块链等数字产业交叉配合,而这些数字产业的发展都需要有强有力的巨额算力支持。随着集成电路工艺技术的发展,高度集成和制程工艺的缩小带来了功耗问题以及量子效应,阻碍了传统计算机性能的进一步提升。以光计算和量子计算为代表的新型计算范式应运而生,其具有高速度、低能耗和并行性的优势,在大规模数据处理和高性能计算等领域展示了强大的计算能力。尤其是智能光计算,在诸如光学互联[1]、逻辑光学计算[2]、光学全息存储[3]和神经网络等方面展现出了潜在的应用。基于伊辛模型的相干伊辛机(Coherent Ising Machine,CIM)通过实现自旋比特间的任意耦合,可以针对大规模组合优化问题(Combinatorial Optimization Problem,COP)快速求解,被视为一种新型的针对COP的专用光量子计算处理器。
1 伊辛模型解决COP
1.1 COP
COP是指在给定一组可选项或决策变量的情况下,寻找最优的组合或解决方案的问题,在许多领域都有广泛的应用,包括运输、金融、通信、物流和生物医药等。较为广泛的COP包括背包问题、装箱问题、旅行商问题、集合覆盖问题[4-5]等。蚁群算法、粒子群算法、遗传算法、模拟退火算法等都是经典的组合优化算法,在图像处理、自然语言处理、智能交通等领域有着重要的应用,尤其是在人工智能领域展现了巨大的潜力和丰富的应用场景。
1.2 伊辛模型
伊辛模型描述的是多个具有两个相互作用的自旋组成的物理系统,被用于模拟铁磁性物质的结构并且描述了其在铁磁性状态和反铁磁性状态之间的相变过程,之后被应用于神经网络[6-8]、无线通信[9]、计算科学[10]等问题中。此外,COP的最优解往往对应于系统处于基态时的自旋状态,即具有最小能量本征值的状态。对于N自旋系统,其每一个自旋有两种状态,即σi=+1和σi=-1,分别表示自旋方向向上和向下,系统总能量(忽略掉偏置项)用伊辛哈密顿量表示为H=-1/2∑i,jJijσiσj,其中Jij是第i个自旋与第j个自旋间的耦合强度:Jij>0时为铁磁相互作用;Jij<0时为反铁磁相互作用。
1.3 伊辛模型解决COP
对于一些非确定性多项式(Non-deterministic Polynomial-Hard,NP-Hard)问题来说,即使是求解中等规模问题的精确解或是近似解,都需要巨大的算力支持。巨大的算力供应需要更高性能、更大规模的芯片集群,但是摩尔定律逐渐失效的现状促使研究者开始寻找其他的计算范式。研究人员发现可以将目标函数映射到物理动力学中来,通过设计新的硬件求解器求解计算复杂度高的COP。从数学上讲,对于每一个NP完全问题而言,都可以找到一个具有多项式计算复杂度伊辛模型的映射,例如分区问题、二进制整数线性规划问题、覆盖和包装问题、着色问题和图同构问题等,表1展示了部分问题所对应的哈密顿量[11]。
表1 部分问题所对应的哈密顿量
2 CIM
CIM是一种采用光量子的耗散式架构的量子计算机,通过构造光脉冲连接的网络进行计算,类似于人脑神经突触的工作模式,对环境噪声和错误有很强的抵抗力。CIM主要利用简并光学参量振荡器(Degenerate Optical Parametric Oscillator,DOPO)模拟量子比特进行计算,系统振幅的非线性动力学的演化满足微分方程x˙=ax-x3,通过对其不动点的稳定性进行分析,可以得到当泵浦功率在阈值以上时,会出现模拟伊辛模型自旋的二元值(0相位和π相位),为快速求解NP-Hard问题提供了新思路。
2.1 DOPO振幅演化主方程
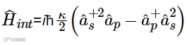
在一个DOPO系统中,泵浦光子和信号光子间相互作用的哈密顿量为
,系统的主方程[12]可以表示为
其中,p为参量增益系数,g为双光子饱和吸收系数。
第i个DOPO的c数随机微分方程,忽略量子噪声并且令g=1后,第i个DOPO的振幅μi随时间的演化可以表示为
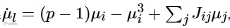
将N个DOPO通过延时光路或者基于FPGA的测量反馈系统连接起来,就构成了可以模拟多自旋伊辛模型的CIM。此时,DOPO的相位不仅与自身的对称性破缺有关,还受其他DOPO相互作用项的影响,其中令ε表示DOPO脉冲之间的耦合强度,第i个DOPO的振幅μi随时间的演化可以表示为
2.2 集体对称性破缺
基于光学参量振荡器的CIM在泵浦强度增加到分岔阈值时会出现集体自发性破缺,其随机的破缺方向便可视为计算中的“0”或“1”的二进制比特。对称性破缺的定义为当控制参量跨越某临界值时,系统原有对称性较高的状态失稳,新出现若干个等价的、对称性较低的稳定状态,系统将向其中之一过渡。这与非线性动力学中的分岔有着相似概念,都是说明系统的稳定性发生了改变。第i个DOPO的振幅μi随时间的演化过程属于超临界叉式分岔的标准形式,不动点倾向于成对地出现或者消失,其势函数的表达式为
,不同参量增益系数p值的向量场和势能场如图1所示。
图1 不同泵浦强度下μ˙i和V(μi)随μi的变化情况
据图1中曲线可知,当p<1时,原点是稳定的,并且是唯一的一个不动点,势能场在原点处有二次最小值;当p=1时,原点依然是稳定的,但是稳定性减弱,即“临界缓慢”,势能场在原点处有更为平缓的4次最小值;当p>1时,原点变为不稳定不动点,并且在原点的两侧对称分布着两个稳定不动点。势能场显示在原点处有局部最大值,原点两侧出现对称的最小值。前两种情况对应为单势阱,后一种情况为双势阱。随着泵浦强度从p<0到p>0,势函数Vμ从单势阱变为双势阱,这就是集体性对称破缺,可以对应为伊辛模型中的两种不同自旋。
当泵浦强度低于振荡阈值时,不会产生参量振荡现象,系统只在零点附近处于稳定状态。随着泵浦强度逐渐增加到振荡阈值时,只能使基态自旋被激发,即对应着伊辛问题答案的自旋构型,这被称为最小增益原理。模拟退火以及量子退火与通过搜索能量状态的方法相比,CIM在计算过程中只需要寻找最小的泵浦强度。
2.3 幅值异质
从宏观上分析,在伊辛模型哈密顿量中,自旋值只有+1和-1两种离散结果。而在CIM的理论中,光脉冲模拟的自旋振幅为连续值。为了与伊辛模型对应,需要用σj=xj/|xj|将自旋振幅映射为离散的二值结果。首先,当xj=0时,σj的取值无法定义[13],并且这种映射必然会产生数值上的误差,映射后的结果不能准确地代替映射前的自旋振幅值,从而会导致搜索后得到的自旋构型无法达到伊辛模型的基态能量;其次,对于系统内任何一个自旋,其振幅的演化满足
,在相同泵浦功率下,各个自旋的演化会因为Jij中的值而产生不同的稳定点(每个自旋和其余自旋耦合的数量不尽相同),从而导致CIM与伊辛模型之间的基态自旋结果接近,但存在一定的差异,具体参见图2[14],其中δ表示振幅之间的差异,即μi2=μl2+δi。实线(虚线)表示自旋间的振幅没有(有)差异时自旋构型和能量之间的关系,在幅值异质问题下CIM在搜索基态能量时会陷入局部最小值从而无法准确搜索到基态能量的自旋构型。
图2 幅值异质示意图
为了解决幅值异质所导致的无法准确搜索到基态能量的自旋构型问题,Leleu等[13]提出利用驱动信号减少振幅的异质性,加入驱动信号的系统按照x˙j(t)=-∂V/∂xj+hsin(2πf*t)进行演化。当驱动信号的参数设置在动力学相变临界值附近时,模拟自旋的直流分量可以更准确地映射出伊辛哈密顿量的全局最小值。随后,该团队又提出使用误差变量纠正振幅的异质性[15],定义为dei/dt=-β(xi2-a)ei,其中ei是误差变量,β是误差变量的变化率。数值模拟的结果表明与当时先进的启发式算法相比,运算时间大大减少。Böhm等[16]用伊辛机的非线性传递函数来减少振幅不均匀性导致的计算误差,实验结果显示,利用sigmoid、cos2和剪切函数等传递函数可以计算出更准确的自旋构型,并在问题解决时间上实现了数量级的提升。并且由于sigmoid函数已经被大量研究作为人工神经元的激活函数,这在伊辛机和神经形态类的计算概念之间建立了联系。路博等[14]提出了基于脉冲神经网络的CIM(Spiking Neural Networks-CIM,SNN-CIM),每个脉冲神经元由x型脉冲和k型脉冲组成,分别为DOPO脉冲和注入光脉冲,其中k型脉冲的大小可以根据测量反馈的结果进行动态调节,实验结果表明,SNN-CIM可以控制相空间体积的收缩速率和方向,使系统摆脱局部最小值的限制,并且在复杂图结构上具有更大的潜力。
3 CIM的实验研究进展与应用
3.1 CIM的实验研究进展
2013年,山本喜久团队[17]提出了一种利用DOPO网络来解决寻找伊辛模型基态的NP-Hard问题求解策略,定义了CIM的计算架构。该方法在高达20阶的三次图上,对所有可归结为NP-Hard的最大割(Maximum Cut,MAX-CUT)问题实例进行了计算实验,该网络可以找到MAX-CUT问题标准实例的解决方案,并且优于基于半定规划的近似算法。基于该理论,Marandi等[18]演示了由4 个 DOPO组成的全光CIM进行计算的实验,其中自旋用DOPO脉冲的超阈值二进制相位表示。该网络在一个具有多个飞秒脉冲序列和可配置互耦合的单DOPO环腔中实现。2016年,Takata等[19]为了解决更复杂的COP,将该方案扩展到16 个自旋的系统,系统在实验上对一维Ising环和NP问题实例的成功率超过99.6%。2016年,通过引入基于FPGA的测量反馈系统,CIM的实验研究扩展到了更高的规模。McMahon等[20]实现了一个全连接可编程的100 个自旋CIM,能够在短时间内找到MAX-CUT问题的最优解或是对近似解进行采样。Inagaki等[21]设计了一个包含2 000 个自旋的全连接耦合网络,实验结果表明,CIM在对于一个包含2 000 个节点的全连接图的准确性和计算时间方面都优于模拟退火算法。2021年,CIM的计算规模得到进一步扩大,Honjo等[22]实现了具有约10.1 万个DOPO脉冲的CIM,其中有超过100 亿个自旋与自旋间的相互作用来构成计算网络,实验结果表明,CIM比先进的数字计算机快约1 000 倍地提供了10 万节点全连接图的MAX-CUT问题的最优解。在国内方面,北京玻色量子科技有限公司(简称“玻色量子”)进一步优化了基于测量-反馈架构CIM,完成了CIM的工程化,并于2023年5月发布了100 个节点的CIM,其系统结构如图3所示;2024年4月,玻色量子发布了550 个节点的CIM[23]。
图3 空间和光纤环混合架构的CIM装置图[24]
3.2 相干伊辛计算的应用探索
由于CIM模型内部的连通性,使其在求解图的MAX-CUT问题上,无论是在密集图(边的数量接近于节点数量的平方)还是在大规模顶点的情况下,都具有很高的计算效率[23]。针对多种COP(例如旅行商问题、信道分配问题、通信系统的优化问题等),都可以实现实时快速优化[24]。2021年,Kurasawa等[25]将CIM应用到最大化大规模集中式无线局域网系统的吞吐量问题上,获得了优于模拟退火算法和贪心算法的分配方案,实现了CIM在无线通信系统中的应用。2023年12月,玻色量子与中国移动通信有限公司研究院联合发表了在大规模多输入多输出的波束选择问题上,使用CIM对该问题的求解精度和速度,均远优于在经典计算机上运行启发式算法的解决方案,并获得至少两个数量级以上的性能改进[26]。Otsuka等[27]在2023年提出了基于CIM的非正交多址接入技术(Non-Orthogonal Multiple Access,NOMA)系统信道分配优化算法,在计算速度和成功率这两个评价指标上优于模拟退火、传统的NOMA算法、基于深度Q学习算法以及穷举搜索等常规算法。
此外,CIM还被应用于模拟二维物理模型的演化过程。2018年,Böhm等[28]模拟了不同的规则和受挫的二维晶格,包括多达1 936 个人工自旋,并观察了在不同参数下自旋的结构及其演化过程。Takesue等[29]在2023年通过改变用于耦合DOPO的注入光脉冲的振幅,实现伊辛自旋模型中的有效逆温度的改变,实验结果表明,CIM是一个热力学自旋系统的光学实现,其中所有的自旋都可以独立实现,并可以利用这些特性处理玻尔兹曼采样等计算任务。在后续的研究中,研究者展开了一系列基于伊辛机采样与神经网络相结合的人工智能方面的研究。2022年,Edwin等[30]制定了基于量子噪声驱动的动态采样模型,克服了平均场模型(忽略量子噪声)和连续时间模型(假设光子寿命较长)的局限性,实验结果表明,在关闭或转换参数驱动的情况下,样本采样性能稳健甚至有所改善,而在缺乏光学非线性的情况下,采样性能会显著降低。
2024年,玻色量子团队与清华大学李克强院士团队合作完成了利用网络拓扑的二值化约束表达、Rosenberg降次等技术将网络训练建模为二次无约束优化(Quadratic Unconstrained Binary Optimization,QUBO)问题,提出了一种量化前馈网络的伊辛机训练方法,这是国际上首次使用伊辛机实现多层神经网络的训练,突破了之前仅适用于单层神经网络的局限,为CIM应用于人工智能领域迈出了关键一步。
此外,CIM还被应用于化学合成和金融投资等领域。在化学反应网络中,寻找最佳途径对于阐明和设计化学过程至关重要,这种化学寻径问题可以表述为一个约束COP,可以在给定的网络中找到连接起始材料到目标材料的化学反应的最佳组合。对于这种COP,CIM可以充分展现其计算优势。2024年,Mizuno等[31]将伊辛机应用于化学路径寻找问题,并使用贝叶斯优化方法进行参数调整,在基准测试上证明找到近似最优路径是可行的。此外,Tsud等[32]也认为为了更好的材料性质而合成各种分子的试错过程是类黑盒过程,使用伊辛机可以获得较好的结果。2023年,Tsud等[33]基于图的二进制变分自编码器获得离散潜在向量,并使用伊辛机对其进行优化,实验结果表明,基于图形处理器(Graphics Processing Unit,GPU)的伊辛机可以应用于基于深度学习的材料设计。此外,CIM有望被使用在求解量子位耦合簇方法的最低特征态[34],该方法是构造量子位空间中电子波函数的一种潜在的精确方法,可以应用于计算氢化锂、水和苯分子的量子耦合簇(Quantum Coupled Cluster,QCC)电子基态。2023年,玻色量子与上海交通大学联合研究团队[35]提出了网格点匹配(Grid Point Matching,GPM)和原子特征匹配(Feature Atom Matching,FAM)算法模型,以便可以通过CIM求解并证实,CIM的求解速度比经典计算机快1 000 倍,显著提升药物虚拟筛选效率和准确率。
在计算复杂度理论中,金融投资组合的构造问题通常被表述为属于非确定性NP难问题的二次和离散优化。伊辛模型因其能够很好地描述系统的宏观属性,被广泛应用于金融问题的研究上。2016年,Philip等[36]发现了伊辛模型中自旋自由度的恒等性,即可以用一个有代表性的代理来解释金融市场中的资产价格动态。2023年,Cividino[37]推广了以前在单一风险资产中使用的伊辛模型至一个基于代理的金融市场的风险资产模型,并展示了其良好的应用效果。2023年,Kosuke等[38]实现了一个基于投资组合优化来确定买空(卖空)的实时股票交易系统,并使用类伊辛分岔机实现了最大化瞬时预期收益。2023年,玻色量子与平安银行联合研究团队基于已有的信用评分典型数据集,利用CIM计算机真机进行有关量子优化算法解决方案的验证与探索,百微秒内求出解,比经典计算机提高了计算速度;同时,选出的特征集合训练得到的模型准确率也较经典计算所使用的模拟退火算法有一定提高。2023年,玻色量子与龙盈智达(北京)科技有限公司组成联合研究团队,研究了量子计算应用于金融投资组合场景,实验结果表明,CIM在每一期的求解时间始终维持在毫秒级别,并且可以求解到收益更高、风险更低的投资策略。
作为伊辛模型求解器的CIM,在化学、制药和金融等领域具有广阔的应用前景。
4 结束语
在党中央“要充分认识推动量子科技发展的重要性和紧迫性,加强量子科技发展战略谋划和系统布局,把握大趋势,下好先手棋”的号召下,《中华人民共和国国民经济和社会发展第十四个五年规划和2035年远景目标纲要》明确提出要瞄准量子信息、人工智能等前沿领域实施一批具有前瞻性、战略性的国家重大科技项目,《2024年国务院政府工作报告》提出未来将“开辟量子技术、生命科学等新赛道”,足以体现了我国对量子技术的高度重视和大力支持。基于光学参量振荡的CIM已经可以高速求解10 万个自旋的MAX-CUT问题,拥有能耗更低、速度更快、结果更好等优势。CIM的发展为研究COP开辟了新的道路,CIM与人工智能有机结合,将为未来人工智能的发展提供强大动力。
The principles and applications of coherent Ising computing
FAN Chenrui1, YUAN Wei2, MA Yin2, YANG Daquan3, WEN Kai2, WANG Chuan1,2
(1. School of Artificial Intelligence, Beijing Normal University, Beijing 100875, China;
2. Beijing QBoson Quantum Technology Co., Ltd., Beijing 100015, China;
3. School of Information and Communication Engineering, Beijing University of Posts and Telecommunications, Beijing 100876, China)
Abstract: With the rapid development of artificial intelligence, many industries require massive computational power as technical support. Low-energy optical computing and quantum computing have emerged as the most promising solution for high-speed and large-scale data processing in the future. The optical parametric oscillations pulses are used as the computational bits in coherent Ising computing. A coherent Ising machine based on optical parametric oscillation can search for spin configurations at the ground state of the Ising model, thereby improving the computational speed and accuracy in solving combinatorial optimization problems. The improved coherent Ising machine can overcome the limitations of local minima, and its test results on large-scale combinatorial optimization problems have surpassed some classical algorithms, providing a new direction for solving various combinatorial optimization problems.
Keywords: coherent Ising machine; optical parametric oscillator; combinatorial optimization problem
本文刊于《信息通信技术与政策》2024年 第7期
主办:中国信息通信研究院
《信息通信技术与政策》是工业和信息化部主管、中国信息通信研究院主办的专业学术期刊。本刊定位于“ 信息通信技术前沿的风向标,信息社会政策探究的思想库 ”,聚焦信息通信领域技术趋势、公共政策、 国家/产业/企业战略,发布前沿研究成果、焦点问题分析、热点政策解读等,推动5G、工业互联网、数字经济、人工智能、大数据、云计算等技术产业的创新与发展,引导国家技术战略选择与产业政策制定,搭建产、学、研、用的高端学术交流平台。
期刊荣誉与收录情况
AMI(2022版)A刊扩展期刊
RCCSE中国核心学术期刊
入选中国科协信息通信领域高质量科技期刊分级目录
为进一步提高期刊信息化建设水平,为广大学者提供更优质的服务,我刊官方网站(http://ictp.caict.ac.cn)已正式投入运行,欢迎投稿!
推荐阅读

