将我们设置为星标账号,获取对您有用的知识!
偏微分方程在科学和工程领域中发挥着至关重要的作用,它不仅是理解和描述自然现象的重要工具,也为解决实际问题提供了有效的方法。随着计算机技术的不断发展,偏微分方程的求解方法也在不断进步,使得其应用更加广泛和深入。
1、偏微分方程学习资料(Evans, 朱,谢等)
链接:https://pan.baidu.com/s/1PUldRQl_efb5Q0jpS--bBg
提取码:2024
2、现代数学基础丛书(科学)
https://pan.baidu.com/s/1o4tY4ZRCaw3gMvxZtAK-zQ?pwd=tsps
3、俄罗斯数学教材(吉米多维奇、卓里奇等学习资料)
https://pan.baidu.com/s/1nk0MoMdjHKMKmbRVtNg1LA?pwd=ibg4


As shown below👇
No.7:
经典偏微分方程--弦振动方程(2)
弦振动方程的解法
达朗贝尔(D'Alembert)解法也称为行波法。
用来求解无外力作用下的自由弦振动方程。
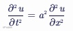
弦振动方程
对于一根无外力作用、两端固定的弦,其振动方程可以表示为:

其中,u(x,t) 是弦在位置 和时间 的位移, 是波速。
达朗贝尔解法
达朗贝尔解法的核心思想是将振动分解为两个相反方向传播的波。假设解可以表示为:
u(x,t) = f(x-at) +g(x+at)
其中,f(x-at)表示沿 轴正方向传播的波,而 g(x+at)表示沿 轴负方向传播的波。
初始条件
为了确定 和 ,我们需要初始条件。通常,我们有两个初始条件:
初始位移 u(x,0) = Φ(x)
初始速度 αu/αt = ψ(x)
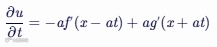
将 t=0 代入 u(x,t),我们得到:

为了找到 ψ(x) 与 f 和 g 的关系,我们对 u(x,t) 关于 t 求导:

然后代入 t=0:

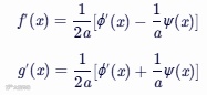
解出 f 和 g
对 ϕ(x)=f(x)+g(x) 求导,得到:

结合 ψ(x)=a[g′(x)−f′(x)],我们可以解出 f′(x) 和 g′(x):

对 f′(x) 和 g′(x) 积分,我们可以得到 f(x) 和 g(x)(注意需要给定积分常数,这些常数通常由边界条件确定,但在此自由弦问题中,我们假设弦的两端固定,即 u(0,t)=u(L,t)=0,其中 L 是弦的长度)。
最终,我们可以将 f(x−at) 和 g(x+at) 代入 u(x,t),得到弦振动方程的解。这个解描述了弦上任意点 x 在任意时间 t 的位移,且这个位移是由两个相反方向传播的波叠加而成的。

No.8:
一些基本概念
3、线性偏微分方程
如果方程中关于未知函数及其各阶偏导数都是线性的,则称它为线性偏微分方程.
例如,波动方程

在线性偏微分方程中,不含有u及它的偏导数的项称为自由项;
当自由项为零时称方程为齐次方程,
例如,Laplace方程

否则就称为非齐次方程,
例如,Poisson方程

一般的线性齐次偏微分方程可写为
Lu=0,
线性非齐次偏微分方程可写为
Lu=f(x_1,⋯,x_n ),
4、叠加原理
在物理学的研究中经常出现这样的现象:几种不同原因的综合所产生的效果等于这些不同原因单独产生的效果(即假设其它原因不存在时,该原因所产生的效果)的累加。这个原理称为叠加原理,它的适用范围非常广泛。叠加原理对于用线性方程和线性定解条件描述的物理现象来说,都是成立的。

PS:
弦振动方程在物理学、工程学、音乐学等领域都有广泛的应用。例如,在乐器制造中,通过调整弦的张力、长度和材质等参数,可以改变弦的振动频率和音色;在桥梁工程中,通过对弦振动的研究,可以评估桥梁的结构稳定性和安全性。此外,弦振动方程还是研究波动现象和偏微分方程理论的重要工具之一。



