TE耦合与TM耦合是电磁场理论中的概念,尤其在微波工程和光波导技术中具有重要意义。
-
TE耦合与TM耦合 -
TE和TM解耦合方法 -
参考文献
As shown below👇
耦合方式
TE耦合与TM耦合
当耦合波垂直于电场方向时,定义为 TE 波耦合,
当耦合波平行于电场方向时,就会出现 TM 波耦合。

下面是更详细的介绍
一、TE耦合
1. 定义
TE耦合,即横向电场(Transverse Electric)耦合,指的是在波导或传输线中,电场分量与传输方向垂直的耦合方式。在TE模式中,电场主要集中在波导的横截面上,而磁场则可能包含沿传输方向的分量。
2. 特点
电场分量与传输方向垂直。
常见于矩形波导、圆波导等结构中。
在TE模式中,电磁波的传输特性受波导的几何形状和介质特性影响。
3. 应用
TE耦合在微波传输、通信、雷达等领域有广泛应用。例如,在矩形波导中,TE10模式是最低阶的传输模式,常用于微波加热、微波测量等场合。
二、TM耦合
1. 定义
TM耦合,即横向磁场(Transverse Magnetic)耦合,指的是在波导或传输线中,磁场分量与传输方向垂直的耦合方式。在TM模式中,磁场主要集中在波导的横截面上,而电场则可能包含沿传输方向的分量。
2. 特点
磁场分量与传输方向垂直。
与TE模式相比,TM模式在波导中的传输特性可能有所不同。
在某些波导结构中,如介质波导,TM模式可能占据主导地位。
3. 应用
TM耦合同样在微波工程、通信、雷达等领域有重要应用。例如,在光纤通信中,虽然光纤主要支持TEM模式(横向电磁场模式),但在某些特殊情况下,如光纤弯曲或存在缺陷时,可能会激发出TM模式或其他高阶模式。
TE和TM解耦合方法
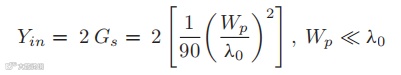
方形贴片微带天线的理论传输线模型,输入导纳的计算公式如下,


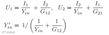
当两个相同的贴片天线受到同一场源的激励时,双端口导纳矩阵表现出互易性。等效输入导纳计算如下,


单极化具有等长间隙的典型DGS可以通过等效集总LC并联电路来表征。DGS的间隙可以等效于电容,电容可以根据间隙的大小进行调整。间隙对电流分布的干扰会增加磁通量,从而产生等效电感。引入沿Y轴方向的1个水平间隙和沿X轴方向的6个垂直间隙来构建所提出的栅栏式DGS,1水平间隙的设计是为了增强对电流的干扰效应,增加TE耦合下的等效电感,从而实现TE解耦。同样,6个垂直间隙的目的是减少TM耦合。下图显示了加载DGS的1×2天线阵列的等效电路,与一阶巴特沃斯低通响应相匹配。等效电感和等效电容值可以通过以下方程式计算:


[1] M. Li, T. Yang, X. -X. Yang, D. Zeng and Z. Yi, "A Defected Ground Structure for TE and TM Coupling Reduction of Dual-Polarized Antenna Array," in IEEE Antennas and Wireless Propagation Letters, vol. 23, no. 9, pp. 2648-2652, Sept. 2024, doi: 10.1109/LAWP.2024.3403165.


