波动方程在物理学、工程学、地球科学等领域有广泛的应用。例如,在声学中,波动方程用于描述声波的传播;在光学中,它用于描述光波的传播;在地震学中,它用于描述地震波的传播。
-
一维弦振动的波动方程 -
电场E满足的波动方程 -
参考文献
As shown below👇
一维弦振动的波动方程
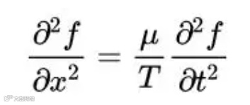
根据牛顿第二定律:如果合外力F不为零,那么物体就会有一个加速度a,它们之间的关系就由F=ma来定量描述(m是物体的质量)。

水平方向:由于弦是水平的,我们只需考虑水平方向的力。
力的平衡:弦段x到x+Δx上的力平衡可以表示为:
T(x+Δx,t)−T(x,t)=ma
其中,T是张力,m是弦段的质量(在假设中弦是无质量的,但这里为了推导需要暂时考虑一个微小的质量),a是弦段的加速度。
加速度:弦段的加速度可以近似为:

根据张力的变化,,以及简化后,可以得到波动方程的形式,

波动方程的解
波动方程的解通常表示为波动函数,它描述了波动在空间中如何随时间变化。对于简单的波动(如平面波),波动函数可以是正弦或余弦函数的形式。对于更复杂的波动(如球面波、柱面波等),波动函数可能更加复杂。
电场E满足的波动方程
由麦克斯韦方程可以建立电磁场的波动方程,它揭示了时变电磁场的运动规律,即电磁场的波动性。下面介绍线性﹑各向同性的均匀无损耗媒质中电磁场的波动方程。
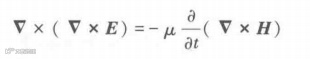
在线性、各向同性的均匀无损耗媒质中,E和H满足的麦克斯韦方程为

对法拉第电磁感应的公式两边取旋度,

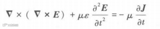
把安培定律公式代入上式

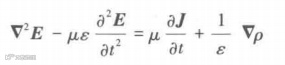
利用矢量恒等式公式以及电场公式可得,

上式就是电场E满足的波动方程。

数值方法
对于复杂的波动问题,通常需要使用数值方法来求解波动方程。这些数值方法包括有限差分法、有限元法、谱方法等。这些方法允许我们模拟波动在复杂介质中的传播,并预测波动的行为。
[1] 处方 谢, 电磁场与电磁波, 第五版 (高等教育出版社, 2019).
[2] D. M. Pozar, 微波工程, 第三版 (电子工业出版社, 北京, 2015).


