在天线测试的框架中,可以通过直接或间接测量来评估被测天线 (AUT) 的辐射方向图。根据频率和源大小,在满足远场条件的距离进行直接测量。然而,当测试大型电天线时,这样的距离可能非常长,这使得在完全受控条件下的室内环境中进行天线测试变得困难。
-
近场测试方法 -
近场到远场的变换 -
参考文献
As shown below👇
近场测试方法
通过使用紧凑型天线测试场 (CATR) 或近场扫描仪系统,可以在室内环境(例如电波暗室)中进行间接测量。
近距离测量天线的方法有两种:
第一种是通过用大型反射器或透镜准直 AUT 辐射的场,在短距离内产生远场。
第二为测量 AUT 的近场。
一旦获取了近场数据,就通过利用合适的近场到远场变换 (NFFFT)来恢复辐射方向图。
为了通过近场数据重建辐射方向图,必须设置适当的测量方案。不同类型的测量方案包括:为平面、圆柱形和球面扫描。
在平面扫描的情况下,半波长 (λ/2 ) 足以计算 AUT 的辐射方向图。半波长采样允许直接使用快速傅里叶变换 (FFT) 算法来执行 NFFFT。它代表了最常见的近场采样策略和平面近场天线测量的实际标准。
但半波长采样并没有考虑配置的几何参数(AUT 的大小和形状及其与测量平面的距离)。所以,它需要获取冗余数量的近场测量。这会对现场样品的采集时间产生负面影响,尤其是在高频下,可能会变得很长。
在这个框架中,引入近场采样策略是一个大问题,以最大限度地减少采集时间。实现此类任务的最简单方法是减少测量次数。
采用较少数量的近场测量的不同采样策略:
1、自适应方法,通过在测量过程中改变采集速率来减少测量次数。这种方法仅在具有高动态行为的区域收集近场样本,并跳过场变化平滑的区域。
2、基于 AUT 上可用的先验信息。例如,如果在适当的谐波表示或某个certain dictionary中获得近场的稀疏表示,则可以大大减少测量次数,并且可以通过压缩传感算法检索远场。
3、利用 AUT 的先验信息,通过数值模拟实现的“学习”步骤来减少测量次数。
4、传感器选择等的更大的领域。在此类问题中,通过优化与辐射算子的奇异值相关的一些指标,在非常密集的网格上所有可能的候选者中搜索最佳测量安排。然而,从计算的角度来看,这种方法的要求非常高。因此,它们逐渐被贪婪算法所取代。后者逐个选择传感器的位置,并依赖于迭代程序,旨在优化与所关注的逆问题相关的一些指标;特别是,框架势和最小特征值通常用于此目的。
近场到远场变换Near-field to far-field transformation (NFFFT)
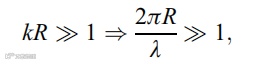
远场简单条件定义为,
对于大型天线如抛物面反射体,孔径尺寸D常用来确定远场条件,即
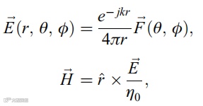
r为从口径中心到观测点距离。观测点(r,θ,Φ)的电磁场可以表示为,
F为决定电场远场波形角变量的函数。这样天线的方向图仅为角位置的函数,与距离r无关。
近场到远场的变换分为两个步骤,
1、选择一想象中的表面来封闭天线,如下图所示。用计算区域内部的电场E和磁场H来确定表面上的电流密度J和磁流密度M。

根据等效定律,由这些等效电流和磁流产生的辐射场等效于天线的辐射场。
其次,通过等效电流密度J和等效磁流密度M,应用矢量位A和F来计算等效电流J和等效磁流M所产生的辐射场。在此过程中,推导解析公式时应用了远场条件。
与FDTD直接计算相比,直接计算法需要远离辐射体多个波长的大量网格的延伸来满足远场条件,而计算等效电流和磁流只需要很少网格。因此,应用近场到远场的转换技术,可以大大提高计算效率。根据不同的计算目标,近场到远场的变换可以在时域和频域中应用。
[1] R. Moretta, G. Petraglia, F. Pascariello, M. Feo and M. A. Maisto, "Planar Near-Field Antenna Measurements With a Uniform Step Larger Than Half-Wavelength," in IEEE Transactions on Antennas and Propagation, vol. 72, no. 12, pp. 9012-9023, Dec. 2024, doi: 10.1109/TAP.2024.3466471.


