超表面极化率提取和等效电路模型在电磁学和材料科学中具有重要意义,在不同层面上提供了对复杂电磁结构和材料的深入理解和分析方法。而超表面作为一种可行的天线结构模式,特别是对于大孔径,其固有的无源结构提供了相当大的好处。
-
超表面的极化率提取 -
等效电路模型 -
参考文献
As shown below👇
超表面的极化率提取
极化率提取是指获得超材料元件有效极化率的数值过程。
极化率模型中是假设元件可以描述为点偶极子,通过全波数值模拟进行确认。对于被描述为点偶极子或点偶极子集合的元件,其尺寸应足够亚波长,以便其场在波导内外都能由适当的格林函数很好地描述。在点偶极子假设的情况下,可以从馈送超材料元件的波导内的透射波和反射波中推断出元件的有效极化率。
极化率提取的方法如图所示,该图显示了具有入射电场和散射n模的波导的横截面。
对于此分析,我们假设矩形波导在高于最低TE模式的截止频率和低于第一高阶模式的截止温度的频率下工作。
在这种情况下,只有一种传播模式——TE10模式——其形式如下
超材料元件可以被视为对波导的扰动,通常会激发所有模式,因此元件散射产生的场必须严格表示为所有可能模式的总和。由于除TE10模式外的所有其他模式都超过了截止值,它们将以指数方式远离元件衰减,导致产生有助于有效集总电感或电容的无功场。
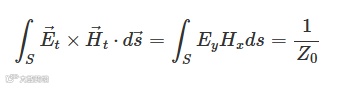
在偶极框架中,决定散射场和辐射场的是超材料元件的有效偶极矩p͈和m。根据以下公式,与超材料相关的有效偶极矩可以通过极化率与入射场相关联起来:
将两个极化率分量与波导中的透射场和反射场联系起来,我们首先应用归一化条件
因此,得模式系数为
极化率可以用散射参数表示为
对于偶极近似提供了元件的适当描述的情况,与散射参数相关的极化率方程足以作为表征波导馈电超材料元件的一种手段。这种近似的有效程度反过来取决于耦合模理论中许多假设的有效性。
而,超表面s参数的获取可以参考下面文章,
等效电路模型
在将散射参数与超材料孔径相关的等效极化率相关联后,讨论将S参数与传输矩阵或ABCD矩阵相关联是有很大意义的。
可以用简单的公式级联多个元素(假设除了散射之外没有其他相互作用)。
然而,通过观察传输矩阵元素,也可以推断出超材料孔径的等效电路模型。电路模型与其等效极化率之间的联系为元表面设计提供了强大的工具。
考虑三种情况:磁偶极子、电偶极子以及磁偶极子和电偶极子的组合。
通过考虑第一个单偶极子分量,更容易理解阻抗模型的出现。
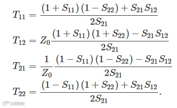
获取了散射参数后,通过变换可以直接计算传输矩阵
可以发现,T11=T22=1 , T21=0
ABCD矩阵的形式,对角线元素等于1,T21=0,意味着一个由串联阻抗组成的电路模型,能够将T12=Z与得到的传递矩阵相等
等效电路模型如图所示
考虑辐射阻尼时磁极化率情况的等效电路,
[1] D. R. Smith, M. Sazegar and I. Yoo, "Equivalence of Polarizability and Circuit Models for Waveguide-Fed Metamaterial Elements," in IEEE Transactions on Antennas and Propagation, vol. 73, no. 1, pp. 7-21, Jan. 2025, doi: 10.1109/TAP.2024.3439728.


