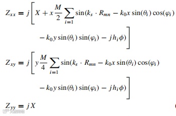
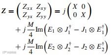
根据边界条件,超表面单元的 E 场模式的阻抗可以被认为是 TE 和 TM 模式的混合。因此,超表面的阻抗可以用阻抗 Z 矩阵来表示。
-
阻抗计算 -
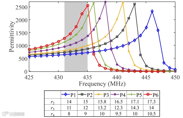
电磁场聚焦 -
参考资料
As shown below👇
阻抗计算
电磁场聚焦
[1] Y. Yao and M. Nekovee, “Efficiency-Enhanced Holographic Metasurface for Wireless Power Transfer Based in Electric Vehicles,” IEEE Antennas and Wireless Propagation Letters, vol. 24, no. 2, pp. 299–303, Feb. 2025, doi: 10.1109/LAWP.2024.3488969.
[2] J. Tang et al., “Wideband Optically Transparent Low-Profile Holographic Impedance Metasurface for Multimode OAM Generation,” IEEE Transactions on Microwave Theory and Techniques, vol. 73, no. 2, pp. 726–735, Feb. 2025, doi: 10.1109/TMTT.2024.3439330.
[3] B. H. Fong, J. S. Colburn, J. J. Ottusch, J. L. Visher, and D. F. Sievenpiper, “Scalar and Tensor Holographic Artificial Impedance Surfaces,” IEEE Transactions on Antennas and Propagation, vol. 58, no. 10, pp. 3212–3221, Oct. 2010, doi: 10.1109/TAP.2010.2055812.


