由于介电谐振器天线 (DRA) 具有重量轻、外形扁平和高辐射效率等特性备受关注。
-
单轴各向异性-各向同性界面的反射 -
堆叠介质谐振器 -
参考资料
As shown below👇
单轴各向异性-各向同性界面的反射
有如下介电常数张量的单轴各向异性介质,
对于在单轴各向异性介质中传播的电磁波,有两种类型的波,即寻常波和非常波。
普通波的电场(E′o)垂直于由光轴和传播矢量k′组成的平面,而非寻常波的电场(E′e)平行于由光轴和波矢量k′组成的平面。
考虑一个单轴各向异性介电谐振器天线(ADRA),其介电常数张量参数为εx=εy=10,εz=2。如图(a)所示,光轴沿z方向。
DRA以其基模的TEy111模式运行。因此,y方向上的电场分量(Ey)为零。反射的寻常波和非常波的反射系数定义为
其中,E’oi和E’ei分别是寻常波和非常波的入射电场。此外,E′or和E′er分别是寻常波和非常波的反射电场。
假设入射波的方向垂直于界面。然后,假设光轴垂直于界面。在这种情况下,单轴介质中不会产生非常波。所以
光轴平行于界面时,
首先分析DRA的顶壁,即z=d/2壁。在下图(a)中观察到,波矢量平行于光轴。
此外,对于DRA的TEy111模式,顶壁上电场的x分量(Ex)比z分量(Ez)强得多。然而,Ex垂直于由光轴和传播矢量k¯z组成的平面。因此,波是普通的,它在界面上的反射系数(Roo)可以计算。因此,DRA顶壁的反射系数仅取决于εx,通过降低εz的值,波的反射不应发生太大变化。εx=10的反射系数计算为Roo=0.52。
根据非常波方向的定义,只有Ez可以是非常波,其反射系数计算为Ree=0.17。 波与单轴DRA壁的相互作用并不像上述法向入射那么简单。然而,这可以很好地了解电磁场与单轴ADRA壁的相互作用。 从这一分析中,可以得出结论,与εx相比,通过降低εz的值,与顶壁相比,ADRA侧壁的电磁场泄漏显著增加。
堆叠介质谐振器
单轴各向异性材料已被用于增强 DRA 的侧面辐射以提高增益。那么,另一种堆叠介质谐振器天线的应用可以实现高增益宽边辐射方向图。
以下介电常数张量的单轴介质:
在等效模型中,很明显εx=εy,等效均匀介电常数张量由[33]中的公式给出
有效介电常数可以用公式计算
因此,计算各向异性矩形介质波导的一种方便的改进Marcatili近似技术可以写成如下:
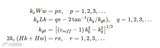
同时,非均匀DR的色散关系如下:
Marcatili近似技术可以直接用于计算TEmns(z)模族的共振频率
用于表征TEmns(z)模族的谐振频率。
[1] X.-J. Wu, Z. Chen, H.-Z. Li, and T. Yuan, “Analysis of TE(z)-Mode Cluster in a Stacked Dielectric Resonator Antenna and Its Bandwidth Diversity Application,” IEEE Transactions on Antennas and Propagation, vol. 72, no. 4, pp. 3742–3747, Apr. 2024, doi: 10.1109/TAP.2023.3333970.
[2] M. Shehbaz, C. Du, D. Zhou, S. Xia, and Z. Xu, “Recent progress in dielectric resonator antenna: Materials, designs, fabrications, and their performance,” Applied Physics Reviews, vol. 10, no. 2, p. 021303, Apr. 2023, doi: 10.1063/5.0128779.
[3] S. Fakhte, H. Oraizi, and L. Matekovits, “High Gain Rectangular Dielectric Resonator Antenna Using Uniaxial Material at Fundamental Mode,” IEEE Transactions on Antennas and Propagation, vol. 65, no. 1, pp. 342–347, Jan. 2017, doi: 10.1109/TAP.2016.2627520.


