空腔内的电磁场的第一个用途是微波炉,它使用水共振来加热食物。对于被完美电导体 (PEC) 壁包围的空腔,电场仅存在于通常称为“谐振频率”的离散频率处。通过控制腔体尺寸,可以控制谐振频率。近年来,无线充电越来越受重视,这种空腔结构作为一种解决方案成为了研究热点。
-
腔内场模式及其展开 -
从 2D 到 3D 的特征模态映射 -
参考资料
As shown below👇
腔内场模式及其展开
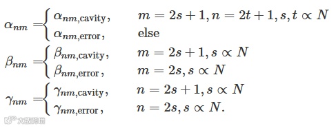
{*nm,cavity}表示可以通过腔本征模实现的谐波系数,而{*nm,error}表示无法实现的谐波参数。因此,当用金属腔模表示一般函数时,误差最小。因此,可以使用Parseval的恒等式计算此误差。
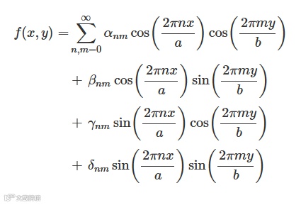
对于可以在z=const平面上完全实现的函数,场可以表示为所有腔模的加权和
上式基本上是函数f(x,y)在腔模方面的展开。
从 2D 到 3D 的特征模态映射
[1] C. Firestein and R. Shavit, "Metallic Cavity Excitation for Desired z-Component Electric Field," in IEEE Microwave and Wireless Components Letters, vol. 31, no. 3, pp. 233-236, March 2021, doi: 10.1109/LMWC.2020.3040801.
[2] X. Ma, C. Ning, D. Zhao and B. -Z. Wang, "Analytic Synthesis of Focused Fields of Low Sidelobe Levels Inside Metallic Cavity by 3-D Eigenmodes Mapping," in IEEE Antennas and Wireless Propagation Letters, vol. 24, no. 3, pp. 547-551, March 2025, doi: 10.1109/LAWP.2024.3507156.


