垂直电偶极子 (VED) 辐射在半空间上的问题对于理解天线和地面上的波传播至关重要。Sommerfeld 对这个问题进行了第一个严格的表述。传统方法通常假设在高损耗地面的问题,Krzysztof A. Michalski和Juan R. Mosig在2021年研究了低损耗或无损介质上的问题。
-
垂直电偶极子(VED)的场 -
在低损耗介质半空间 -
参考资料
As shown below👇
*垂直电偶极子(VED)的场
主要解的形式
垂直电偶极子(VED)的场
直接场:
反射场(含 Fresnel 反射系数 R TM ):

*在低损耗介质半空间
垂直赫兹偶极子在低损耗介质半空间上的辐射场模式中的2个关键现象包括:
界面场消失(interface pattern extinction)
在辐射场模式图中,当观测点从上半空间(空气)跨越界面进入下半空间(介质)时,场强会出现一个 锐减(sharp dip),类似于“消失”的现象。
这种现象在均匀介质(ε1 =ε2 )中不会出现,但在介质对比明显时(如空气-地面)尤为显著。
在界面附近,几何光学场消失,但 二阶场分量 仍然存在,主要包括:
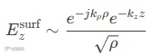
表面波(Evanescent Wave, B):在上半空间沿界面传播,但场强随垂直距离指数衰减,相位速度由下半介质决定。
侧向波(Lateral Wave / Head Wave, D):在下半空间沿临界角方向传播,相位速度由上半介质决定。
这些二阶场分量在界面处形成 驻波(standing wave),导致场强随距离按 ρ^−2 衰减(而非几何光学场的 r^−1 ),因此辐射模式在界面处出现“锐减”。
地下场波纹(subsurface pattern scalloping)
在下半空间(介质)的辐射场模式中,当观测角度介于 临界角(θc )和界面(θ=90° ) 之间时,场强会出现 周期性波纹(ripples)。
这种现象在传统几何光学分析中无法解释,因为几何光学仅预测平滑的场分布。
[1] Sommerfeld, A. (1909), Über die Ausbreitung der Wellen in der drahtlosen Telegraphie. Ann. Phys., 333: 665-736. https://doi.org/10.1002/andp.19093330402
[2] K. A. Michalski and J. R. Mosig, "On the Complete Radiation Pattern of a Vertical Hertzian Dipole Above a Low-Loss Ground," in IEEE Journal of Microwaves, vol. 1, no. 3, pp. 747-762, July 2021, doi: 10.1109/JMW.2021.3084947.


