平面介电半空间上的辐射问题一直是电磁场的经典研究课题之一。它涉及电磁波在介质边界处的反射、折射以及辐射场的计算。
-
平面介电半空间上的辐射问题 -
Sommerfeld 问题 -
参考资料
As shown below👇
*平面介电半空间上的辐射问题
考虑一个无限大的平面介电半空间,其边界位于 z=0:
区域 z>0:介电常数为 ϵ、磁导率为 μ 的介质。
区域 z<0:自由空间(ϵ0 ,μ0)。
源可能位于自由空间或介质中,需计算辐射场(如偶极子辐射、平面波入射等)。
涉及的物理问题
反射与折射:电磁波在边界处遵循斯涅尔定律和菲涅尔公式。
表面波:某些条件下可能激发表面波(如Zenneck波)。
辐射场修正:介质的存在会改变自由空间中源的辐射特性(如偶极子辐射功率)。
源位置:偶极子位于自由空间(z<0)或介质(z>0)。
解法步骤:
自由空间格林函数:修正为包含边界效应的并矢格林函数。
镜像法:介电半空间引入镜像源,修正辐射场(如 z<0 的偶极子会产生一个镜像偶极子)。
远场近似:计算辐射功率和方向性, 介质的折射率
当介电常数 ϵ 为负(如等离子体或金属在特定频率下),可能激发表面等离激元.
数学工具
并矢格林函数:求解麦克斯韦方程,满足边界条件:
波谱展开:将场分解为平面波谱,适用于任意源分布。
Sommerfeld积分:处理半空间问题中的柱对称源(如垂直偶极子)。
*Sommerfeld 问题
主要解的形式
(A) 垂直电偶极子(VED)的场
直接场:
反射场(含 Fresnel 反射系数 R TM ):
(B) 水平电偶极子(HED)的场
由于 TE/TM 模式耦合,计算更复杂,但仍可用 Sommerfeld 积分表示。
一些结论
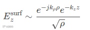
表面波的存在:
当大地导电(σ≠0),会激励 Zenneck 波,沿地面传播。
在远距离(如长波通信),表面波主导传播。
损耗影响:
高导电率(如海水)导致强衰减,表面波传播距离短。
低导电率(如干燥土壤)允许表面波传播更远。
频率依赖性:
低频(如 kHz 级)表面波传播更有效(如 AM 广播)。
高频(如 MHz 以上)以空间波为主。
[1] F. Mesa and D. R. Jackson, "An Appraisal of Numerical Approaches for a VED Over the Earth or Ocean," in IEEE Transactions on Antennas and Propagation, vol. 70, no. 8, pp. 6957-6972, Aug. 2022, doi: 10.1109/TAP.2022.3161476.
[2] I. -S. Koh, "A Complete Uniform Asymptotic Expansion of Dyadic Green’s Function for Dielectric Half-Space Including Plasmonic Media," in IEEE Transactions on Antennas and Propagation, vol. 73, no. 5, pp. 3382-3387, May 2025, doi: 10.1109/TAP.2025.3533258.


