非厄米趋肤效应(NHSE)是近年来非厄米物理中的一个重要现象,指在开放或耗散系统中,体态波函数局域在边界(如系统的一端)而非均匀分布的现象。这一效应打破了传统厄米系统中的体边对应关系(bulk-boundary correspondence),并导致许多新奇物理现象。
-
非厄米趋肤效应 -
物理机制 -
参考资料
As shown below👇
*非厄米趋肤效应
经典趋肤效应(如电磁波在导体中的趋肤效应):
高频电磁场在导体表面集中,由麦克斯韦方程和有限电导率导致。
非厄米趋肤效应:
由非厄米哈密顿量的非互易性(non-reciprocity)或非对称耦合引起,导致所有(或大量)本征态局域在边界。
其有以下关键特征
体态局域化:
传统能带理论中,体态(bulk states)在周期性边界条件下是扩展的,而在开边界条件下可能局域在边界。
依赖边界条件:
在周期性边界条件(PBC)下,系统可能表现为扩展态;而在开边界条件(OBC)下,波函数聚集在边界。
非互易耦合:
例如,一维链中向左和向右的跃迁强度不同(t_left != t_right ),导致净定向“流”,使粒子堆积在一端。
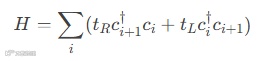
*物理机制
一个简单的一维非厄米紧束缚模型,
如果
则哈密顿量非厄米。
当
系统出现非互易性,导致波函数向某一方向“偏置”,最终局域在边界。
复能带缠绕(Complex Spectral Winding)
在周期性边界条件下,能带 E(k) 在复平面上形成闭合环。当开边界时,能带“塌缩”并导致本征态局域化。
广义布里渊区(Generalized Brillouin Zone, GBZ)
传统布里渊区(BZ)适用于厄米系统,但非厄米系统需要引入 GBZ 来描述体态局域化。GBZ 是一个复平面上的闭合路径,用于计算非厄米拓扑不变量。
[1] 杨哲森, “非厄米能带理论和体边对应,” 博士学位论文, 中国科学院大学(中国科学院物理研究所), 2020. doi: 10.27604/d.cnki.gwlys.2020.000057.


