包络相关系数(ECC)是阵列或MIMO天线不同端口对应的信道间的相关系数。在多天线系统中,ECC 被用作表征和衡量系统性能和效率的性能指标。对于天线系统,目前有3种常用的计算 ECC 的方法。
-
ECC的三种常用计算方法 -
ECC的标准与阈值 -
参考文献
As shown below👇
ECC的三种常用计算方法
1、通过散射参数Sij 和 Sji 计算 ECC

式中, i(1-N) 和 j(1-N) 为天线端口,N 为辐射单元个数,Sij 和 Sji 为天线
单元的散射参数。
利用网络分析仪从天线系统的天线端口提取这些参数。这种方法不需要计算和测量天线系统的辐射方向图。它还提供了一个清晰的理解互耦和输入阻抗匹配对天线系统分集性能的影响。隔离度与回波损耗越小,ECC 越大。
这种方法虽然计算简便,但只适用于无耗的理想情况。
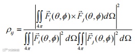
2、通过远场辐射方向图计算 ECC

其中Fi(θ, Φ)和Fj(θ, Φ)分别是 i和j 端口分别馈电时的场方向图。 hfss中toolkits有计算工具。
这种方法最为准确,但主要缺点是需要每个天线端口的三维远场辐射图。这种测量耗时长,成本高。
3、通过 S 参数与辐射效率结合计算ECC

S参数与辐射效率的结合,可以给出相关系数的上限。其中 , nrad,i 和 , nrad,j 表示天线系统的辐射效率。辐射效率低于 60%时,此方法误差较大。

ECC的标准与阈值
理想情况下,为了实现最佳的MIMO性能,每个天线元素应该是完全独立的,即它们的辐射模式不应该相互关联。ECC的值范围从0到1,其中0表示天线之间完全独立,1表示天线之间完全相关。在实际应用中,ECC的值应尽可能低,以确保MIMO系统的性能。

ECC的标准与阈值
在实际应用中,ECC的值通常被认为低于0.5是可以接受的。然而,在天线领域各大期刊的MIMO设计中,ECC一般小于0.2才被视为优秀的设计。一些极限的设计甚至能达到0.1以下。因此,在MIMO天线设计和评估过程中,需要尽可能地降低ECC值,以提高系统的性能。

[1] 郭朝宗.高隔离MIMO阵列天线技术研究[D].西安电子科技大学, 2023.DOI:10.27389/d.cnki.gxadu.2023.003855.
[3] Q. X. Lai, Z. L. Hu, and Y. M. Pan, “A Simple Decoupling Method for Wideband Millimeter-Wave MIMO Magnetoelectric Dipole Antenna Array Using Parasitic Stubs,” IEEE Transactions on Antennas and Propagation, vol. 72, no. 10, pp. 7470–7479, Aug. 2024, doi: 10.1109/TAP.2024.3443700.


