偶极子是多种微波器件的基础结构,对电偶极子辐射的研究为计算电磁学奠定了基础。然而很多设计和研究中并没有考虑到金属厚度的影响,在亚毫米波范围内,金属的厚度与其他设计参数同样重要。
-
考虑金属厚度的偶极子的等效电路 -
传输线格林函数 (TL-GF) -
参考文献
As shown below👇
考虑金属厚度的偶极子的等效电路
根据有限偶极子的解,下图为考虑金属厚度的等效电路表示。
偶极子可以用长度为ℓ/2、特性阻抗Z0和传播常数kxp的两个传输线段来表示,其中Z0和kxp的计算方法如参考资料[2]所述。
在两侧,这些负载有电阻Rend和电容Cend,分别表示端点辐射和低频电容,其定义基于下式
间隙由具有匝数比n和间隙电容C的变压器建模。前者的表达式在基于下式定义,为n=sin(kxpΔ/2),
而后者可以建模为如下平行板电容器。
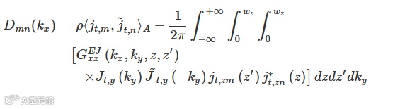
传输线格林函数 (TL-GF)
偶极子的横向格林函数如下式,
通过求解色散方程det(D(kx))=0,可以找到极点kxp1和kxp2。
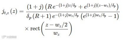
单个不对称横向电流分布可以用下式求解,
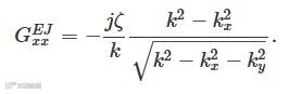
自由空间格林函数如下,
通过计算以下傅里叶逆变换可以找到电流分布i(x):
[1] R. Ozzola, C. Tadolini, and A. Neto, “Spectral Domain Analysis of Lossy and Nonzero Thickness Dipoles of Finite Length Radiating in Layered Media,” IEEE Transactions on Antennas and Propagation, vol. 72, no. 11, pp. 8888–8892, Nov. 2024, doi: 10.1109/TAP.2024.3456966.
[2] E. A. Speksnijder, R. Ozzola, and A. Neto, “Spectral Domain Green’s Function of an Infinite Dipole With Nonzero Metal Thickness and Rectangular Cross Section,” IEEE Transactions on Microwave Theory and Techniques, vol. 72, no. 8, pp. 4530–4541, Aug. 2024, doi: 10.1109/TMTT.2024.3361532.



