可移动天线 (MA) 技术是最近发展的一项技术,它通过实现天线的局部移动,充分利用了受限区域中的无线信道空间变化。具体来说,发射机和/或接收机的天线位置可以动态改变,以获得更好的信道条件,从而提高通信性能。
-
可移动天线 (MA) 技术 -
可移动天线 (MA)阵列的多波束形成 -
参考文献
As shown below👇
可移动天线 (MA) 技术
在过去的几十年里,从单天线或单输入单输出 (SISO) 演变为多天线或多输入多输出 (MIMO) 一直是无线通信系统发展的关键趋势。通过利用空间多路复用、干扰抑制、波束成形和分集增益,MIMO 技术显著提高了无线通信的容量和可靠性。然而,由于天线或天线阵列部署在固定位置,现有的通信系统无法在发射器 (Tx) 和接收器 (Rx) 所在的给定区域充分利用无线信道空间变化或所谓的空间自由度 (DoF)。为了克服这一限制,最近引入了可移动天线 (MA) 技术,使天线能够在指定区域的 Tx/Rx 处局部移动。在机械控制器和驱动器的帮助下,MA 可以在有限区域内连续移动,从而充分利用该区域的空间 DoF 来改善无线信道条件。
传统的天线选择(AS) 系统中的天线只能离散地部署在一维 (1D) 线或二维 (2D) 表面的固定位置。相比之下,MA 可以在三维 (3D) 区域中灵活移动,以充分利用其中的通道变化。因此,与 AS 相比,MA 是探索受限区域空间 DoF 的更具成本效益和效率的解决方案。
MA 辅助无线通信的典型应用,包括:
工业物联网:未来的行业将包括自动化和智能化,以减少对人工操作的需求。在这种情况下,大量的机器类终端需要连接到它们的接入点 (AP),以实时报告状态信息和接收控制指令。由于它们周围的传播环境通常变化缓慢,而且通常部署在固定位置或移动性低,因此安装在其上的 MA 可以帮助改善长信道相干时间内的无线信道条件,从而提高它们的通信可靠性并降低延迟。
智能家居:未来的智能家居有望支持家用电器、家用机器人和室内传感器等不同类型设备之间的无线连接和信息共享,以实现各种功能。随着无线设备数量的增加,分配给每个设备的带宽会受到限制,并且此类设备的位置通常是固定的或随着时间的推移而缓慢变化。因此,如果 AP 和此类设备之间的信道条件恶化,传统的时间/频率分集技术就无效。在这种情况下,在这些设备上安装 MA 可以帮助增加信道功率,而无需安装额外的天线。
机器人网络:在此类网络中,多个机器人可能会在给定带宽内同时发送/接收信号,从而造成不必要的干扰,从而降低其通信性能。将 MA 集成到机器人收发器可以显著提高其空间干扰抑制能力,即使天线数量较少也是如此。例如,可以将 MA 移动到在一对所需收发器之间实现高通道增益的位置,同时最大限度地减少来自/到其他不需要的 Tx/Rx 的干扰。此外,如果两个节点之间的无线链路被障碍物阻挡,可以调整 MA 的高度以建立视距 (LoS) 信道。
卫星通信:在实践中,卫星通常配备用于合成窄波束的大规模 FPA,以补偿由于与地面用户的信号传播距离较长而导致的高路径损耗。特别是,近地轨道 (LEO) 卫星可以传输和服务于不同的地面区域,这些区域可能具有不同的用户分布和波束覆盖要求。然而,FPA 阵列在制造后具有固定的几何形状,只能通过模拟/数字波束成形来适应不同的通道条件和通信要求。相比之下,MA 阵列的几何形状可以重新配置,因此可以通过联合优化 MA 的位置和波束形成权重来获得更灵活的波束模式,从而增强地面用户的波束覆盖范围。尽管卫星通常保持较高的移动速度,但由于卫星相对于地面的高度较高,因此用于覆盖地面的转向角会随着时间的推移而缓慢变化。此外,卫星的轨道是固定的并遵循周期性模式,因此卫星 MA 位置的优化和实施实际上是可行的。
可移动天线 (MA)阵列的多波束形成
可移动天线 (MA) 被提出为一种很有前途的技术,它通过天线的本地移动来有效改善无线信道条件并提高通信性能。
与 FPA 相比,MA 在提高接收信噪比 (SNR)、MIMO 信道容量以及多用户通信性能方面具有优势。
此外,MA 阵列可以通过联合优化天线位置矢量 (APV) 和 AWV 来显着增强 FPA 阵列上的单波束形成。在某些零点控制方向和 MA 数量下,MA 阵列可以在所需方向上实现完整的波束成形增益,而在不需要的方向上实现零点控制。
系统模型与问题表述
如上图所示,考虑一个具有N个天线的线性MA阵列,其中MA的位置可以在长度为D的给定一维(1D)线段中进行调整。
设xn∈[0,D]表示第N个MA的位置,所有N个MA的APV表示为
因此,MA阵列的转向矢量可以写成APV x和转向角
将AWV表示为w∈CN,因此转向角θ上的波束形成增益可以表示为
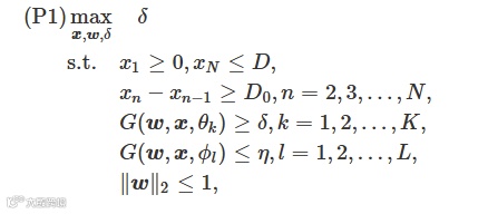
设{θk}Kk=1表示k个期望信号方向的集合,{ϕl}Ll=1表示l个不期望干扰方向的集合。在这种设置下,我们的目标是通过联合优化APV x和AWV w,在给定的{ϕl}Ll=1上的最大干扰功率约束下,使{θk}Kk=1上的最小信号功率最大化,用δ表示,这可以表示为以下优化问题:
[1] L. Zhu, W. Ma and R. Zhang, "Movable Antennas for Wireless Communication: Opportunities and Challenges," in IEEE Communications Magazine, vol. 62, no. 6, pp. 114-120, June 2024, doi: 10.1109/MCOM.001.2300212.
[2] W. Ma, L. Zhu and R. Zhang, "Multi-Beam Forming With Movable-Antenna Array," in IEEE Communications Letters, vol. 28, no. 3, pp. 697-701, March 2024, doi: 10.1109/LCOMM.2024.3350647.


