无线电力传输 (WPT)的效率一直是亟待提高的问题。基于高介电常数介电谐振器耦合的 WPT 系统已经进行了实验测试,2016年的一项研究中加入了一个巨大的介电常数电介质(εr= 1000 和 tanδ= 0.00025) 在 232 MHz 时。通过应用阻抗匹配技术,在谐振器之间的间隔内实现了 50% 的效率d= 16 厘米 (0.125λ).
-
高介电谐振耦合器在WPT系统中的应用 -
高介电MTM的构造 -
参考资料
As shown below👇
高介电谐振耦合器在WPT系统中的应用
2007 年,麻省理工学院的一个小组通过实验证明,当通过谐振耦合传输功率时,WPT 效率可以大大提高。他们通过两个金属线圈之间的强耦合磁共振,在 2 m 的距离内以 45% 的效率传输 60 W 的功率。从那时起,许多工作致力于研究谐振 WPT 及其在移动设备充电中的应用。
尽管如此,用于为移动设备充电的 WPT 系统仍然需要改进。首先,动力传输距离仍然有限。事实证明,高效传输的关键是耦合系数与谐振器损耗率的比值远大于单位。其次,发射器和接收器之间的错位降低了 WPT 效率。第三个缺点是无线充电的角度不稳定性,当发射器和接收器在空间中随机定向时,就会发生这种情况.
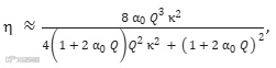
用高折射率介电谐振器代替传统的金属线圈,并在磁四极子 (MQ) 而不是磁偶极子 (MD) 谐振频率下工作可以克服上述问题。谐振器 Q 因子对 WPT 系统效率的影响。对于两个谐振器的一般情况,WPT 效率可以写为
通过减少欧姆损耗和辐射损耗,可以大幅提高谐振器的品质因数(Q 因子)。此外,由于 MQ 模式与 MD 模式相比具有独特的近场分布,因此 WPT 效率将更能抵抗发射器和接收器之间的随机方向。
基于上述的研究,MTM的特性被预见到可以发挥很大的作用。
MTM 是由工程结构组成的人造材料,具有天然材料中所没有的特殊电磁特性,例如负折射率和消逝波放大。
基于磁谐振耦合的 WPT 本质上是倏逝波的耦合,MTM 可用于提高 WPT 效率。
带有 MTM 的 WPT 系统的效率在自适应充电方面得到了显著提高。
同时,MTM可以增加遥测系统工作范围的灵活性,例如更远的传输距离和更大的电子或植入式设备的错位容差。
高介电MTM的构造
一种用于WPT系统和立方高介电共振器(CHDR)结构的单元如图所示。
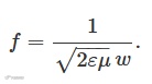
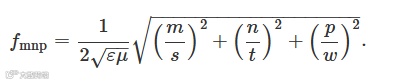
理论上,具有金属壁的矩形腔谐振器的谐振频率由下式给出
如果选择立方腔谐振器,则所有长度都相等,这意味着s=t=w。在这种腔谐振器的情况下,所有最低阶模式,如TM110、TE011和TE101,都具有相同的场模式或频率,被称为简并模式。这些简并模的共振频率为
在高介电共振器的情况下,壁上的边界条件可以被视为开路;因此,模式的谐振频率也可以近似用上述公式计算。研究发现,如果一个晶胞同时经历电共振和磁共振,由于两种共振模式的叠加,它可能会表现出极化不变响应。由于3-D结构的立方性质,CHDR具有简并的TE和TM模式。因此,CHDR对z方向入射波的偏振不太敏感。
[1] R. Das, A. Basir and H. Yoo, "A Metamaterial-Coupled Wireless Power Transfer System Based on Cubic High-Dielectric Resonators," in IEEE Transactions on Industrial Electronics, vol. 66, no. 9, pp. 7397-7406, Sept. 2019, doi: 10.1109/TIE.2018.2879310.
[2] M. Song, P. Belov, and P. Kapitanova, “Wireless power transfer based on dielectric resonators with colossal permittivity,” Applied Physics Letters, vol. 109, no. 22, p. 223902, Dec. 2016, doi: 10.1063/1.4971185.
[3] M. Song, I. Iorsh, P. Kapitanova, E. Nenasheva, and P. Belov, “Wireless power transfer based on magnetic quadrupole coupling in dielectric resonators,” Applied Physics Letters, vol. 108, no. 2, p. 023902, Jan. 2016, doi: 10.1063/1.4939789.


