当电磁波传播路径中遇到具有不同折射率的两种介质之间的界面时,由于两种介质之间的波阻抗不匹配,电磁波将部分反射和传输。在许多光学或微波应用中,当需要高的传输率时,反射是不可取的。这导致了抗反射理论的发展和大量的抗反射结构的研究。然而常用的1/4阻抗匹配层有严格的折射率和厚度要求,在应用中通常受到限制。随着超材料的发展,可以规避传统的材料约束,人工工程结构可能具有广泛的 ɛ和 μ值。基于此有研究提出了一种磁电单轴超材料层 (MEUML)可以实现在任意入射角上实现偏振不敏感匹配。
-
匹配理论 -
用于完美匹配的MEUML材料参数张量的推导 -
参考资料
As shown below👇
匹配理论
如图所示,假设来自空气(介质1)的TE或TM极化平面波以𝜃1角度入射。MEUML位于具有任意介电常数ɛ3的各向同性非磁性半无限基底(介质3)上方。
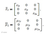
单轴层的介电常数和磁导率张量呈现以下形式:
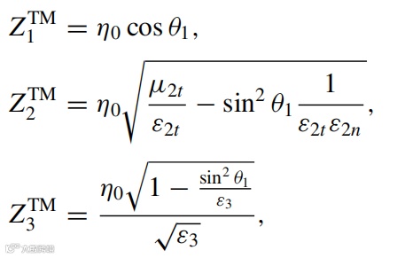
假设所有矩阵元素都是实数。空气中的全反射可以通过如下方程式计算得出,
为了实现TE和TM偏振在特定入射角下对特定基板的完美匹配计算所需的MEUML参数,有如下方程计算得出,
用于完美匹配的MEUML材料参数张量的推导
空气中的全反射由方程式给出
其中,
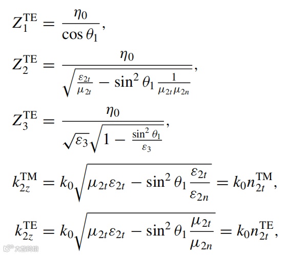
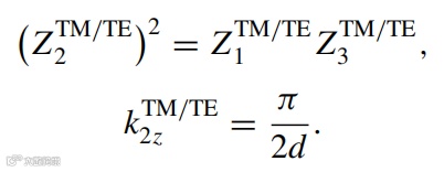
其中,波阻抗和波数可以进一步表示为
其中,η0为自由空间固有阻抗,k0为自由空间波数。实现零反射所需的条件是
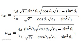
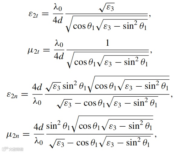
通过替换以及带入法,上述最终总共有四个方程和四个未知的材料参数。因此,可以精确地求解切向和纵向介电常数和磁导率:
[1] Y. He and G. V. Eleftheriades, “Magnetoelectric uniaxial metamaterials as wide-angle polarization-insensitive matching layers,” Phys. Rev. B, vol. 98, no. 20, p. 205404, Nov. 2018, doi: 10.1103/PhysRevB.98.205404.


