随着太赫兹波段相控阵天线技术的进步,太赫兹波段的无线局域网 (LAN) 和移动通信的建立已被提上日程。然而,人体阴影 (HBS) 是一个重要的传播问题。由于太赫兹波沿直线传播,当障碍物阻挡视距 (LOS) 传播路径时,阴影损失会加剧。因此,为了设计高精度的无线电链路,必须阐明 HBS 在太赫兹频段的影响,且必须构建一个包括 HBS的评估路径损耗的模型。
-
人体模型和损耗模型的建立 -
计算方法 -
参考资料
As shown below👇
人体模型和损耗模型的建立
活人在 300 GHz 时的复介电常数范围:实部 3.5-5.0,虚部为 2.5-4.0 。
最近有研究建立了THz频段使用人体模型研究路径损耗的研究配置,如下,
Tx 采用了增益为 7 dBi 的波导探针天线。波导探针天线的增益采用三天线法 [23] 测量。
波导探头天线的半功率波束宽度 (HPBW) 为 60°。输出功率和载波频率分别为 7.8 dBm 和 293.4 GHz。
采用了由一个 300 GHz Rx、一个旋转镜和一个旋转台组成的高速太赫兹半球扫描仪来测量衍射波的 DOA。
一个 35 dBi 的镜头天线连接到 Rx。
为了测量透镜天线增益,测量了使用透镜天线的 293.4 GHz 频段无线链路的接收功率。
链路距离为远场区域 (50 m)。透镜天线增益的计算方法是将使用正交喇叭天线时的接收功率差相加,其增益采用三天线方法校准。
透镜天线的 HPBW 为 1.3°。
Rx 的最小灵敏度为 −100 dBm。旋转镜和旋转平台分别有助于控制太赫兹光束的仰角和方位角。旋转镜和旋转台的角度精度为 0.1°。此外,每次测量时,旋转镜和旋转台的旋转角度都会返回到初始位置,以防止从一个测量会话到另一个测量会话的角度变化。
Tx 天线与半球扫描仪的距离为 5.0 m,人体模型设置在距 Tx 天线 2.5 m 的距离处。Tx 和 Rx 的高度为 1.2 m,用于测量躯干的阴影损失,以及 1.6 m 的高度,用于头部的阴影损失。
HBS 损耗测量系统如上图所示,
使用带有 220–330 GHz 频段扩展器的 VNA 评估衍射波的 HBS 损耗特性。
用于测量的频段是 253–295 GHz 频段,该频段已分配给移动通信,并在 2019 年世界无线电通信大会 (WRC) 中被确定为移动通信频段。
在实验中,VNA 的时间选通功能用于消除除从人体衍射的波之外,实验室中反射/衍射波的影响。
在这些 VNA 测量中,距离直达波到达时间 2.5 ns 后的时间波形被时间选通去除。2.5 ns 的延迟时间对应于 0.75 m 的传输距离差异。因此,可以认为天花板和周围墙壁的反射波的影响已经消除。
另一方面,当体模位于中心附近时,来自地板的反射波位于时间门控范围内。然而,由于直达波传播路径下方的地板被无线电波吸收器覆盖,因此地板上的反射不会对测量结果产生重大影响。测量系统的典型动态范围为 115 dB。
波导探针天线之间的距离为 5.0 m,天线高度分别为 1.2 m 和 1.6 m,用于测量躯干和头部的阴影损失。人体模型被放置在 LOS 传播路径中。传播损耗是通过改变体模的位置来测量的。Tx 天线与人体模型之间的距离 (dt ) 在 0.5-4.5 m 的范围内以 0.5 m 的间隔设置。
计算方法
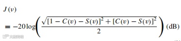
在单KED(SKED)的情况下,衍射损耗可以使用以下方程计算
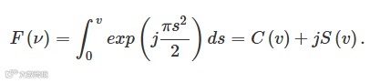
其中C(v)和S(v)分别是复菲涅耳积分F(v)的实部和虚部,如以下方程所示:
屏蔽比v表示如下:
对于大于-0.78的v,可以从以下表达式中获得近似值
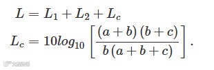
双隔离KED(DIKED)模型是一种通过连续应用KED来计算两个障碍物造成的损耗的方法,如图上图b所示。在该模型中,总衍射损耗L可以用下式表示
这些KED模型被广泛用于计算人体的阴影损耗。
[1] A. Hirata and S. Takagi, "Modeling of Human Body Shadowing Loss at 300 GHz Based on Measurement of Path Loss and Direction of Arrival," in IEEE Transactions on Antennas and Propagation, vol. 73, no. 2, pp. 1162-1172, Feb. 2025, doi: 10.1109/TAP.2024.3520664.


