电磁波的波前操控在无线通信、雷达、隐私保护等领域有重要应用。传统方法难以在同一器件中实现不同入射角度下的波前不变(如透明)和波前扩散(如模糊)功能。如何设计一种超表面,在垂直入射时保持波前不变,而在斜入射时实现波前扩散?
-
波前畸变 -
超表面对波前的调控 -
参考资料
As shown below👇
*波前畸变
波前形状取决于波源类型和传播介质:
平面波前:无限远处点光源或平行光(如激光)。
球面波前:点光源发出的波(如天线辐射)。
柱面波前:线光源发出的波(如光纤中的模式)。
波前的数学描述
以时谐电磁波为例,电场可表示为:
#波前畸变(Distortion)
畸变原因:
介质不均匀(如大气湍流)。
通过复杂结构(如超表面、衍射光栅)。
畸变效果:
波前扩散:相位随机化,导致能量分散(如毛玻璃效应)。
波前整形:可控相位调制(如超表面生成涡旋光束)。
波前调控的两种模式
垂直入射(波前不变):
要求超表面所有单元(超原子)的透射相位相同(Δφ≈0°),此时透射波前与入射波前一致,表现为“透明”。
斜入射(波前扩散):
需引入相位随机性(如Δφ=0°和180°的二进制相位分布),通过散射干扰波前,形成扩散效果。
传统光学元件
透镜:通过厚度变化引入相位延迟,将球面波前转为平面波前(聚焦)。
衍射光栅:利用周期性结构分裂波前(分光)。
超表面(Metasurface)
超表面通过亚波长结构(超原子)局域调控电磁波相位、振幅或偏振,实现波前操控。
超表面实现步骤
(1)超原子优化
单胞仿真:计算两种超原子在0°和60°入射下的透射振幅和相位。
角度色散验证:扫描入射角(0°–75°),确保相位差在目标角度(如60°)达到180°。
(2)超表面排布设计
随机相位分布:将两种超原子按随机序列排列。
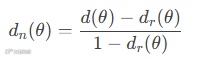
优化算法:如人工蜂群算法(ABC),以最大化斜入射时的扩散系数:
[1] Keyu Li, Changhui Shen, Hongchen Chu, Yun Lai; Angle-dependent multifunctional metasurfaces for wave diffusing under oblique incident angles. Appl. Phys. Lett. 12 May 2025; 126 (19): 191705. https://doi.org/10.1063/5.0258161.


