在微波频段,超表面(MTS)可以通过在薄的接地平板上印制调制金属纹理来实现。由于其亚波长特性,通过均匀化处理,这种纹理可被视为等效的调制阻抗边界条件(IBC)。这种 IBC 的合理设计能够将有界表面波(SW)转换为漏波(LW)模式,并对辐射孔径场的相位、幅度和极化进行精确控制。
-
MTS 各向异性电抗 -
衰减常数和调制指数之间的关系 -
参考资料
As shown below👇
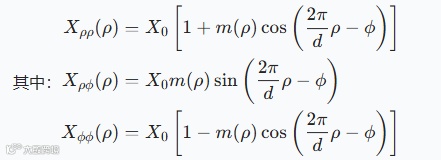
*MTS 各向异性电抗
#超表面 的金属覆层可等效为厄米特电抗张量 X(ρ),在无损耗情况下为实对称矩阵,描述切向电场与磁场的关系:
电抗张量采用螺旋形调制,其参数形式为:
#表面波 与漏波转换内向 / 外向表面波(0 阶模式)通过超表面的阻抗调制转换为漏波(-1 阶模式),泄漏参数 α(ρ) 决定能量辐射速率,调制指数 m(ρ)控制孔径场的幅度分布(如高斯 taper),优化辐射效率和波束纯度。
通过调控切向电磁场的连续性,超表面等效为 “电磁调控界面”,可独立控制两种极化波的相位、幅度和传播方向,实现共孔径双极化辐射,避免传统双极化天线的体积和馈电复杂性问题。
*衰减常数和调制指数之间的关系
衰减常数α(ρ)与调制指数m(ρ)的关系是实现双圆极化超表面天线高效辐射的核心机制之一.
#衰减常数α(ρ)描述漏波(LW)在超表面孔径上的能量泄漏速率,直接影响辐射效率和孔径场分布。单位为 1/m,数值越大表示能量泄漏越快,辐射越集中于孔径近端;反之则泄漏缓慢,能量分布更均匀。
表征超表面阻抗调制的强度,定义为电抗分量相对于平均电抗的变化幅度。无量纲参数,取值范围通常为 0<m(ρ)<1,m(ρ)=0 表示无调制(均匀电抗表面),m(ρ)=1 表示最大调制幅度。
衰减常数 α(ρ) 主要由平均电抗 X_0 和调制指数m(ρ) 决定,通过求解一维规范问题(如均匀平面波与调制表面的相互作用)获得,其函数关系可表示为:α = f(m, X_0)
具体求解方法包括:广义 Oliner 方法:适用于各向异性阻抗边界条件(IBC),通过分析调制表面的模式耦合推导衰减常数29。解析近似:对于正弦调制或高斯调制,可通过渐近分析或数值拟合得到闭式表达式30。
[1] R. Thanikonda, M. Faenzi, A. Toccafondi, E. Martini and S. Maci, "Dual Circularly Polarized Metasurface Antenna Based on Inward and Outward Surface Wave Duplexing," in IEEE Transactions on Antennas and Propagation, vol. 73, no. 5, pp. 2700-2712, May 2025, doi: 10.1109/TAP.2025.3529257.


