串联馈电微带贴片天线常用于汽车雷达中,该结构模型通常存在波束斜视问题,这大大降低了雷达的感知能力。然而,目前还很少有有效的设计方法来抑制光束斜视。最近有研究提出了一种幅度-相位调整 (APA) 方法解决这个问题。
-
#波束斜视 -
#波束斜视抑制的基本原理与实现方法 -
参考资料
As shown below👇
*波束斜视
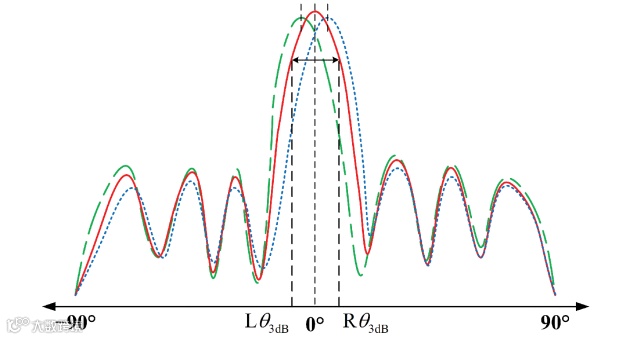
相对于 0° 的辐射方向的主波束与主轴的偏差称为波束斜视。此时常常会伴随增益下降,且旁瓣在狭窄的范围内显示出轻微的波动的现象。

与辐射方向图最高点的偏差对应的角度称为波束斜视角。当主波束发生斜视时,3dB波束宽度对应的角度会呈现左右不对称特征。因此,需同时采用辐射方向图最高点对应角度与3dB波束宽度对应角度进行联合表征,以更全面准确地描述串联馈电微带贴片天线的波束斜视特性。
常用的#串联馈电微带贴片天线,如下图所示,
*波束斜视抑制的基本原理与实现方法
波束斜视的产生源于串联馈电微带贴片天线中各阵元的幅度与相位因损耗影响而偏离理想设计值。
这种损耗同时会导致天线阵元的幅度和相位产生波动。根据阵列天线基本原理,辐射方向图由阵元幅度、相位及阵元间距共同决定,因此幅度与相位的波动将引发波束斜视现象。
对于串联馈电微带贴片天线而言,其阵元方向图函数固定不变,因此对阵元幅度和相位的调整可等效为对阵列因子方向图函数中幅度与相位的调整。
更具体的,如下表述
经过幅度与相位调整后,波动的幅度和相位将恢复为理想值。此时各阵元相位保持同相状态,即相位差为0°。因此,抑制波束斜视的关键在于使各阵元的幅度和相位回归理想设计值,具体需先进行幅度调整,再进行相位调整。通过改变贴片宽度和传输线长度,可将各阵元的幅度与相位调整至理想设计值——其中贴片宽度对应幅度调节,传输线长度对应相位调节。基于串联馈电微带贴片天线的级联结构特性,各阵元幅度波动需进行逐级叠加计算,同时需保持相位同相性。[1] P. Zhao, N. Li, F. Wang, Y. Zhang and N. Hu, "Beam Squint Suppression of Series-Feed Microstrip Patch Antenna for Automotive Radar," in IEEE Transactions on Antennas and Propagation, vol. 73, no. 5, pp. 3340-3345, May 2025, doi: 10.1109/TAP.2024.3520820.


