摘要:阵列天线具有增益高、波束窄、指向可控等特点,在雷达和移动通信等场合得到广泛应用。阵列天线由于单元数较多,全阵列仿真计算对资源要求高,且需要花费大量时间。本文借助HFSS软件提供阵列计算几种常用的方式,通过比较分析各自优缺点,总结出最为准确的结果,为阵列计算提供一定参考和指导。
关键词:阵列天线;HFSS
一、原理介绍
天线阵列原理介绍以二元阵为基础作简要介绍如下。

二元阵原理示意图
间距为d的二元阵是分析天线阵列的基础,也很直接的表述了方向图乘积定理:任何由相同阵元组成天线阵的远场辐射方向图都是阵元因子(Element Factor,EF)和阵因子(Array Factor,AF)的乘积。AF取决于阵元的几何排布、阵元间距及每个阵元的相位,与阵元的几何形状无关。天线阵最准确的表示必须包含相邻天线阵元间的耦合影响以及天线阵的边缘效应。
第二部分的应用,基本上都是利用方向图乘积定理;部分采用全阵元完全计算。
需要注意的几点:
1.阵列单元天线之间的间距对单元之间的互耦和阵列的增益影响比较大,拉大距离会降低耦合、增加阵列增益,同时也会使波束变窄,但是过大间距会引入过多的栅瓣;
2.基于实际情况对尺寸的限制,单元数和单元间距就需要牺牲,相应的就是互耦提升和增益下降;
3.一般情况单元间距为工作中心频率的半波长(或者介质、波导波长的一半),此种情况下theta=0处远场的合成正好是同相相加;
4.阵列电扫描时,需要复杂的馈电网络,同时也要考虑波束指向区的遮挡以及低扫描角时阵列本身对波束的影响。
5.指向角θ与馈电相位φ关系:
Φ=kd·sinθ
其中k为波数,d为单元间距。
6.常见规则阵列不出现栅瓣(或低栅瓣电平)排布间距:
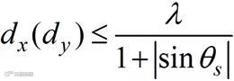
①对于矩形阵形式单元间距:

其中dx和dy分别是x、y轴方向上单元间距,θs是阵列最大扫描角;θs=0时,为边射阵(broadside),单元间距小于λ/2;θs=π/2时,为端射阵(end-fire),单元间距小于λ;
②对于等腰三角阵形式单元间距:

其中dx和dy分别是x、y轴方向上单元间距,θs是阵列最大扫描角,α为等腰三角形腰与x轴的夹角,π/6≤α≤π/3。

等腰三角阵列排布示意图
二、HFSS计算天线阵列方法汇整
最为准确的天线阵场计算为全阵列计算。天线组阵后,各单元间会产生互耦;天线阵的边缘会存在场的绕射等边缘效应,这使得使用方向图乘积定理计算天线阵的场时变得不够准确。但考虑到大型阵列计算需要大量资源和时间,单元法作为估测阵列场分布有一定的指向意义。
HFSS单元计算+阵列计算
HFSS在进行电大尺寸电磁计算时显得捉襟见肘,可以使用单元法进行近似分析(基于方向图乘积定理)。主要步骤是先计算单独一个单元,再据此进行阵列演算。单元法主要可采用方法有:
①主从边界+Floquent Port,主从边界所在边界尺寸为阵列单元间距(阵列为整体而辐射元独立的,如微带阵,主从边界与单元天线边缘叠合);
②主从边界+PML,主从边界所在边界尺寸为阵列单元间距(阵列为整体而辐射元独立的,如微带阵,主从边界与单元天线边缘叠合);
③单元天线加辐射边界。
以下是采用单元法与全阵列计算结果对比的二组实例,分别是微带2x2阵列天线和波导3x3阵列天线。
在HFSS中对单元天线建模,然后分别设定主从边界(对于扫描的设好扫描角变量)、Floquent Port和PML,各模型图如下图所示。其中主从边界尺寸为阵列中单元间距,顶部距天线≥λ/4,辐射边界距天线边缘≥λ/4。(注:PML层的上平面一般设定为Impedance边界,阻抗为377*cos(theta_scan))
单元天线数据计算完之后,选择HFSS-Radiation-Antenna—Array Setup—Rectangular Setup—Regular Array,在对话框中输入相应的阵列数据,然后按确认。设置完成后得到的即是阵列场数据。单元间距需要提前计算好合适数值。


全尺寸阵列辐射边界


Floquent_Port+主从边界PML+主从边界


E面辐射方向图比较H面辐射方向图比较


全尺寸阵列Floquent_Port+主从边界


PML+主从边界辐射边界

E面辐射方向图比较

H面辐射方向图比较
从以上结果可以看出,采用主从边界+Floquent Port、主从边界+PML以及辐射边界的单元法计算天线阵列的结果和全阵列计算的结果在主瓣区域内基本一致,可以再定性上分析出阵列的场分布以及电扫描结果。但单元法计算的副瓣及后瓣区域结果与实际全阵列结果相差较大。其中,采用辐射边界的单元法计算的结果后瓣最大,后瓣值大于全阵列计算结果,其他的均小于全阵列结果。采用主从边界+PML的计算结果与全阵列的结果最为接近。
此外,在波导类损耗、单元互耦较小的天线阵列中,单元法计算结果与全阵列的更加接近。
当平面阵列不是规则阵列时,单元天线数据计算完之后,选择HFSS-Radiation-Antenna Array Setup-Rectangular Setup-Custom Array Setup,选择对应路径的相应TXT数据,然后按确认,即可得到非规则平面阵数据。数据格式如下:
N
x_1 y_1 z_1 A_1 P_1
x_2 y_2 z_2 A_2 P_2
……
X_N y_Nz_N A_N P_N
N为阵列单元总数目,x、y、z为每个单元坐标,A和P分别为对应的单元幅值与相位。
作者:丁青,中国航天空气动力技术研究院
参考文献
[1]克劳斯著, 章文勋译. 天线(第三版)[M]. 电子工业出版社, 2009.
[2]谢拥军等, HFSS原理与工程应用[M]. 科学出版社, 2009.
本文刊登于微波射频网旗下《微波射频技术》杂志 2015无线射频专刊。


