以天线的设计为例,天线设计离不开理论分析、数值计算和验证测试三种手段。随着高速计算机技术的飞速发展,计算电磁学已成为一门新兴的重要学科,它的发展将天线设计推进了一个新的阶段。计算电磁学从求解域来说看,有时域和频域,从求解的精确度可分为数值算法和高频近似的算法。在天线问题中常用的算法有:矩量法(MOM)、有限元法(FEM)和时域有限差分法(FDTD),数值方法的基本原理就是把连续变量函数离散化,从而建立起收敛的代数方程组,然后用计算机进行求解。本文从中选取两个典型的算法:时域有限差分(FDTD)和频域有限元算法(FEM),并对其进行介绍分析。
目前采用时域有限差分算法的商用软件有CST、XFDTD等。此算法是将麦克斯韦旋度方程的偏微分形式出发,直接在时域进行差分离散得到。
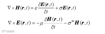
在各向同性线性媒质中,麦克斯韦方程组旋度方程的微分形式为:

算法将空间按立方体进行剖分电场磁场交替排列,如下图:

电场和磁场在空间交替排列,电磁场的6个分量在空间的取样点分布在立方体的边沿和表面中心点上 。电场和磁场分离在任何分量上始终相差两个步长。在时间上电场分量和磁场分量也差半个步长取一样。
在上述算法中,时间增量Δt和空间增量Δx,Δy和Δz不是相互独立的,他们的取值需要满足一定的条件,即:

这就是此算法需要满足的Courant稳定性条件。
在此条件下差分方程的数值解与原偏微分方程的严格解之间的差有界,否则,计算结果将随着时间步长无限制的寄生增长。除此之外,时域差分算法在对麦克斯韦方程组数值计算还会在网格中引起,相速度随频率变化,色散现象,导致色散误差。如果在模拟空间中采用大小不同的网格或包含不同的介质区域,这时网格尺寸与波长之比将是位置的函数,在不同网格或介质的交界面处将出现非物理的绕射和反射现象,对此也应该进行定量的研究,以保证正确估计FDTD算法的精度。此误差除了与频率和网格大小、时间步长有关,还与波的传播方向有关,具有各向异性。减小网格数目可以有效减小色散误差。
以HFSS为代表的商用软件采用了频域有限元算法(FEM),与时域有限差分算法不同,有限元算法采用四面体元。

HFSS中的三种基函数
它的优点是适用于具有复杂边界形状或边界条件、含有复杂媒质的定解问题。这种方法的各个环节可以实现标准化,得到通用的计算程序,而且有较高的计算精度。HFSS采用自适应网格剖分和加密技术相对来说有效提高了软件的计算效率,自适应网格剖分根据对场量分布求解后的结果对网格进行增加剖分密度的调整,在网格密集区采用高阶插值函数,以进一步提高精度,在场域分布变化剧烈区域,进行多次加密。 和时域差分算法相比,有限元算法不需要工程师的先验知识就能较为准确的得出仿真结果,而且在PCB的仿真中,由于阻抗不匹配导致振铃时,频域算法更为合适。
来源:恩硕科技
最新活动:
在线研讨会:多物理场仿真优化微波通信与天线设计(10月26日)
在线研讨会:宽带复杂信号的实时射频流盘采集与分析(10月27日)
NI射频与微波/无线通信测试研讨会邀请函【上海站 | 10月26日】
欢迎业内人士踊跃投稿
投稿邮箱:editor@mwrf.net


