天线大体可分为线天线和口径天线两类。 移动通信用的VHF、UHF天线,大多是以对称振子为基础而发展的各种型式的线天线,卫星地面站接收卫星信号大多用抛物面天线(口径天线)。

一、天线的特性
天线的特征与天线的形状、大小及构成材料有关。天线的大小一般以天线发射或接收电磁波的波长l来计量。因为工作于波长l = 2m的长为1m的偶极子天线的辐射特性与工作于波长l = 2cm的长为1cm的偶极子天线是相同的。 与天线方向性有关参数:方向性函数或方向图 离开天线一定距离处,描述天线辐射的电磁场强度在空间的相对分布的数学表达式,称为天线的方向性函数; 把方向性函数用图形表示出来,就是方向图。 最大辐射波束通常称为方向图的主瓣。主瓣旁边的几个小的波束叫旁瓣。
为了方便对各种天线的方向图进行比较,就需要规定一些表示方向图特性的参数,这些参数有:
1.天线增益G(或方向性GD)、波束宽度(或主瓣宽度)、旁瓣电平等。
2.天线效率
3.极化特性
4.频带宽度
5.输入阻抗
天线增益是在波阵面某一给定方向天线辐射强度的量度。它是被研究天线在最大辐射方向的辐射强度与被研究天线具有同等输入功率的各向同性天线在同一点所产生的最大辐射强度之比。

天线方向性GD与天线增益G类似但与天线增益定义略有不同。
因为天线总有损耗,天线辐射功率比馈入功率总要小一些,所以天线增益总要比天线方向性小一些。
理想天线能把全部馈入天线的功率限制在某一立体角ΩB内辐射出去,且在ΩB立体角内均匀分布。这种情况下天线增益与天线方向性相等。
理想的天线辐射波束立体角ΩB及波束宽度θB

实际天线的辐射功率有时并不限制在一个波束中,在一个波束内也非均匀分布。在波束中心辐射强度最大,偏离波束中心,辐射强度减小。辐射强度减小到3db时的立体角即定义为ΩB。波束宽度θB与立体角ΩB关系为

旁瓣电平是指主瓣最近且电平最高的。第一旁瓣电平,一般以分贝表示。方向图的旁瓣区一般是不需要辐射的区域,其电平应尽可能的低。
天线效率ηA定义为:

式中,Pi为输入功率;P1为欧姆损耗;PΣ为辐射功率。
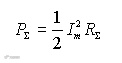
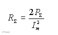
天线的辐射电阻RΣ用来度量天线辐射功率的能力,它是一个虚拟的量,定义如下:设有一个电阻RΣ,当通过它的电流等于天线上的最大电流时,其损耗的功率就等于辐射功率。显然,辐射电阻越大,天线的辐射能力越强。由上述定义得辐射电阻与辐射功率的关系为

即辐射电阻为
仿照引入辐射电阻的办法,损耗电阻R1为
将上述两式代入效率公式,得天线效率为
可见,要提高天线效率,应尽可能提高RΣ,降低R1。
极化特性是指天线在最大辐射方向上电场矢量的方向随时间变化的规律。按天线所辐射的电场的极化形式,可将天线分为线极化天线、圆极化天线和椭圆极化天线。线极化又可分为水平极化和垂直极化;圆极化和椭圆极化都可分为左旋和右旋。
二、输入阻抗与电压驻波比
输入阻抗与电压驻波比:天线的输入阻抗等于传输线的特性阻抗,才能使天线获得最大功率。当天线工作频率偏离设计频率时,天线与传输线的匹配变坏,致使传输线上电压驻波比增大,天线效率降低。因此在实际应用中,还引入电压驻波比参数,并且驻波比不能大于某一规定值。
天线的电参数都与频率有关,当工作频率偏离设计频率时,往往要引起天线参数的变化。当工作频率变化时,天线的有关电参数不应超出规定的范围,这一频率范围称为频带宽度,简称为天线的带宽。
多数天线具有互易性,即天线在发射模式和接收模式具有相同的方向性。 如果一给定天线工作在发射模式,A方向辐射电磁波的能力比B方向强100倍,那末该天线工作于接收模式时,接收A方向辐射来的电磁波灵敏度比B方向也强100倍。
如果所观测点离开波源很远、很远,波源可近似为点源。从点源辐射的波其波阵面是球面。因为观测点离开点源很远很远,在观察者所在的局部区域,其波阵面可近似为平面,当作平面波处理。符合这一条件的场通常称为远区场。
在天线很多应用场合,远区场的假设都是成立的。远区场假设为我们分析研究天线辐射的场带来很大方便。这里所谓很远很远都是以波长来计量的。
同常规的微波天线相比,微带天线具有一些优点。因而,在大约从100MHz到50GHz的宽频带上获得了大量的应用。与通常的微波天线相比,微带天线的一些主要优点是:
重量轻、体积小、剖面薄的平面结构,可以做成共形天线;
制造成本低,易于大量生产;
可以做得很薄,因此,不扰动装载的宇宙飞船的空气动力学性能;
无需作大的变动,天线就能很容易地装在导弹、火箭和卫星上;
天线的散射截面较小;
稍稍改变馈电位置就可以获得线极化和圆极化(左旋和右旋);
比较容易制成双频率工作的天线;
不需要背腔;
微带天线适合于组合式设计(固体器件,如振荡器、放大器、可变衰减器、开关、调制器、混频器、移相器等可以直接加到天线基片上);
馈线和匹配网络可以和天线结构同时制作。
但是,与通常的微波天线相比,微带天线也有一些缺点:
频带窄;
有损耗,因而增益较低;
大多数微带天线只向半空间辐射;
最大增益实际上受限制(约为20dB);
馈线与辐射元之间的隔离差;
端射性能差;
可能存在表面波;
功率容量较低
但是有一些办法可以减小某些缺点。例如,只要在设计和制造过程中特别注意就可抑制或消除表面波。
三、微带天线应用
在许多实际设计中,微带天线的优点远远超过它的缺点。在一些显要的系统中已经应用微带天线的有:
移动通信;
卫星通讯;
多普勒及其它雷达;
无线电测高计;
指挥和控制系统;
导弹遥测;
武器信管;
便携装置;
环境检测仪表和遥感;
复杂天线中的馈电单元;
卫星导航接收机;
生物医学辐射器。
这些绝没有列全,随着对微带天线应用可能性认识的提高,微带天线的应用场合将继续增多。
四、微带天线三种基本类型
微带天线可以分为三种基本类型:微带贴片天线、微带行波天线和微带缝隙天线。
微带贴片天线(MPA)是由介质基片、在基片一面上有任意平面几何形状的导电贴片和基片另一面上的地板所构成。实际上,能计算其辐射特性的贴片图形是有限的。
图3-3 实际使用的各种微带天线图形

图3-4 微带天线其它可能的几何图形
微带行波天线(MTA)是由基片、在基片一面上的链形周期结构或普通的长TEM波传输线(也维持一个TE模)和基片另一面上的地板组成。TEM波传输线的末端接匹配负载,当天线上维持行波时,可从天线结构设计上使主波束位于从边射到端射的任意方向
图3-5 微带行波天线
微带缝隙天线由微带馈线和开在地板上的缝隙组成。缝隙可以是矩形(宽的或窄的),圆形或环形。
图3-6 微带缝隙天线
大多数微带天线只在介质基片的一面上有辐射单元,因此,可以用微带天线或同轴线馈电。
因为天线输入阻抗不等于通常的50W传输线阻抗,所以需要匹配。匹配可由适当选择馈电的位置来做到。但是,馈电的位置也影响辐射特性。

图3-7 微带线馈电的天线

图3-8 同轴馈电的微带天线
中心微带馈电和偏心微带馈电。馈电点的位置也决定激励那种模式。
当天线元的尺寸确定以后,可按下法进行匹配:先将中心馈电天线的贴片同50W的馈线一起光刻,测量输入阻抗并设计出匹配变阻器;再在天线元与馈线之间接入该匹配变阻器,重新做成天线。另外,如果天线的几何图形只维持主模,则微带馈线可偏向一边以得到良好的匹配。
特定的天线模可用许多方法激励。如果场沿矩形贴片的宽度变化,则当馈线沿宽度移动时,输入阻抗随之而变,从而提供了一种阻抗匹配的简单办法。馈电位置的改变,使得馈线和天线之间的耦合改变,因而使谐振频率产生一个小的漂移,而辐射方向图仍然保持不变。不过,稍加改变贴片尺寸或者天线尺寸,可补偿谐振频率的漂移。
对于微带馈电,用惠更斯原理可以把馈源模拟为贴在磁壁上沿z方向的电流带。在薄的微带线中,除了馈线的极邻近区域外,在贴片边界上的任何地方,这个电流都很小。在理想的情况下,可假定馈源是一个恒定电流的均匀电流带。边缘效应要求电流带的宽度等于馈线的有效宽度,馈线对微带天线输入阻抗的影响表现为增加了一个感抗分量,此感抗可以由电流带的尺寸来计算。
在所有的情况中,同轴插座安装在印制电路板的背面,而同轴线内导体接在天线导体上。对指定的模,同轴插座的位置可由经验去找,以便产生最好的匹配。使用N型同轴插座的典型微带天线示于图3-8中。
根据惠更斯原理,同轴馈电可以用一个由底面流向顶面的电流圆柱带来模拟。这个电流在地板上被环状磁流带圈起来,同轴线在地板上的开口则用电壁闭合。如果忽略磁流的贡献,并假定电流在圆柱上是均匀的,则可进一步简化。简化到最理想的情况是,取出电流圆柱,用一电流带代替,类似微带馈电的情况。该带可认为是圆柱的中心轴,沿宽度方向铺开并具有等效宽度的均匀电流带,对于给定的馈电点和场模式,等效宽度可以根据计算与测量所得的阻抗轨迹一致性经验地确定。一旦这个参数确定了,它就可以用在除馈电点在贴片边缘上以外的任何馈电位置和任何频率。当馈电点在贴片边缘上时,可以认为,在贴片边缘上的边缘场使等效馈电宽度不同于它在天线内部时的值。在矩形天线中,等效宽度为同轴馈线内径的五倍时,可给出良好的结果。
相关阅读:
微波射频行业人士 | 相聚在这里
【10大细分领域的微信技术交流群】
微波射频网已建立射频、天线、雷达、毫米波、手机射频、RFIC、功放、SDR等细分领域的技术交流群,提供一个互相交流的平台,促进技术进步。长按识别下方二维码加群主,说明:单位+技术方向,邀请您加入相应技术群!














