一.锁相环的基本组成
许多电子设备要正常工作,通常需要外部的输入信号与内部的振荡信号同步,利用锁相环路就可以实现这个目的。
锁相环路是一种反馈控制电路,简称锁相环(PLL)。锁相环的特点是:利用外部输入的参考信号控制环路内部振荡信号的频率和相位。
因锁相环可以实现输出信号频率对输入信号频率的自动跟踪,所以锁相环通常用于闭环跟踪电路。锁相环在工作的过程中,当输出信号的频率与输入信号的频率相等时,输出电压与输入电压保持固定的相位差值,即输出电压与输入电压的相位被锁住,这就是锁相环名称的由来。
锁相环通常由鉴相器(PD)、环路滤波器(LF)和压控振荡器(VCO)三部分组成,锁相环组成的原理框图如图8-4-1所示。

锁相环中的鉴相器又称为相位比较器,它的作用是检测输入信号和输出信号的相位差,并将检测出的相位差信号转换成uD(t)电压信号输出,该信号经低通滤波器滤波后形成压控振荡器的控制电压uC(t),对振荡器输出信号的频率实施控制。

二.锁相环的工作原理
锁相环中的鉴相器通常由模拟乘法器组成,利用模拟乘法器组成的鉴相器电路如图8-4-2所示。
鉴相器的工作原理是:设外界输入的信号电压和压控振荡器输出的信号电压分别为:
![]()
(8-4-1)
![]()
(8-4-2)
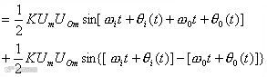
式中的ω0为压控振荡器在输入控制电压为零或为直流电压时的振荡角频率,称为电路的固有振荡角频率。则模拟乘法器的输出电压uD为:


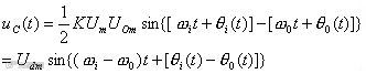
用低通滤波器LF将上式中的和频分量滤掉,剩下的差频分量作为压控振荡器的输入控制电压uC(t)。即uC(t)为:

(8-4-3)
式中的ωi为输入信号的瞬时振荡角频率,θi(t)和θO(t)分别为输入信号和输出信号的瞬时位相,根据相量的关系可得瞬时频率和瞬时位相的关系为:

即

(8-4-4)
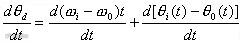
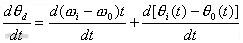
则,瞬时相位差θd为

(8-4-5)
对两边求微分,可得频差的关系式为
![]()
(8-4-6)
上式等于零,说明锁相环进入相位锁定的状态,此时输出和输入信号的频率和相位保持恒定不变的状态,uc(t)为恒定值。当上式不等于零时,说明锁相环的相位还未锁定,输入信号和输出信号的频率不等,uc(t)随时间而变。
因压控振荡器的压控特性如图8-4-3所示,该特性说明压控振荡器的振荡频率ωu以ω0为中心,随输入信号电压uc(t)的变化而变化。该特性的表达式为

(8-4-6)
上式说明当uc(t)随时间而变时,压控振荡器的振荡频率ωu也随时间而变,锁相环进入“频率牵引”,自动跟踪捕捉输入信号的频率,使锁相环进入锁定的状态,并保持ω0=ωi的状态不变。
三、锁相环的应用
3.1.锁相环在调制和解调中的应用
(1)调制和解调的概念
为了实现信息的远距离传输,在发信端通常采用调制的方法对信号进行调制,收信端接收到信号后必须进行解调才能恢复原信号。
所谓的调制就是用携带信息的输入信号ui来控制载波信号uC的参数,使载波信号的某一个参数随输入信号的变化而变化。载波信号的参数有幅度、频率和位相,所以,调制有调幅(AM)、调频(FM)和调相(PM)三种。
调幅波的特点是频率与载波信号的频率相等,幅度随输入信号幅度的变化而变化;调 频波的特点是幅度与载波信号的幅度相等,频率随输入信号幅度的变化而变化;调相波的特点是幅度与载波信号的幅度相等,相位随输入信号幅度的变化而变化。调 幅波和调频波的示意图如图8-4-4所示。

上图的(a)是输入信号,又称为调制信号;图(b)是载波信号,图(c)是调幅波和调频波信号。
解调是调制的逆过程,它可将调制波uO还原成原信号ui。
3.2.锁相环在调频和解调电路中的应用
调频波的特点是频率随调制信号幅度的变化而变化。由8-4-6式可知,压控振荡 器的振荡频率取决于输入电压的幅度。当载波信号的频率与锁相环的固有振荡频率ω0相等时,压控振荡器输出信号的频率将保持ω0不变。若压控振荡器的输入信 号除了有锁相环低通滤波器输出的信号uc外,还有调制信号ui,则压控振荡器输出信号的频率就是以ω0为中心,随调制信号幅度的变化而变化的调频波信号。 由此可得调频电路可利用锁相环来组成,由锁相环组成的调频电路组成框图如图8-4-5所示。


根据锁相环的工作原理和调频波的特点可得解调电路组成框图如图8-4-6所示。
3.3.锁相环在频率合成电路中的应用
在现代电子技术中,为了得到高精度的振荡频率,通常采用石英晶体振荡器。但石英晶体振荡器的频率不容易改变,利用锁相环、倍频、分频等频率合成技术,可以获得多频率、高稳定的振荡信号输出。
输出信号频率比晶振信号频率大的称为锁相倍频器电路;输出信号频率比晶振信号频率小的称为锁相分频器电路。锁相倍频和锁相分频电路的组成框图如图8-4-7所示。

相关阅读:
微波射频行业人士 | 相聚在这里
【10大细分领域的微信技术交流群】
微波射频网已建立射频、天线、雷达、毫米波、手机射频、RFIC、功放、SDR等细分领域的技术交流群,提供一个互相交流的平台,促进技术进步。

长按识别上方二维码加群主为好友,说明:单位+技术方向,邀请您加入相应技术群

