大家好,今天我们来聊聊调制。说到调制,我想很多同学马上会联想到这些关键词:BPSK、QPSK、调幅、调相、QAM、星座图……
众所周知,调制和解调是通信基本业务流程中的重要组成部分。没有它们,我们的移动通信根本无法实现。
那么,究竟什么是调制?为什么要调制?5G又是怎么调制的呢?接下来,我们逐一介绍。
让我们看一下生活中的一个例子:我们每天都在出行。出行的时候,我们会根据行程选择适合的交通工具。
乘坐不同的交通工具,出行的速度也会有快有慢。整个过程,大概就是这样一个模型:
实际上,通信系统和这个模型类似。上面的出行模型,是把人从出发点运输到目的地。而通信系统,是把数据信号从发送端传输到接收端。我们进行以下转换:
看出来了吧?“调制”,就像为信号找一个交通工具,让它载着信息穿过信道到达目的地。
我们知道,在无线信道中,信号是以电磁波的形式传递的。那么,电磁波怎么来传递信息呢?
例如,我们要传递0和1,可以让苹果代表0,香蕉代表1。
我们发送给接收端,接收方收到后一看是苹果就知道是发送的是0,一收到香蕉,就知道发送的是1。
接收方一看是红苹果,就知道是发送的是0。收到绿苹果,就知道发送的是1。
我们可以用大的红苹果来代表0,小的红苹果代表1。一看是大红苹果,就知道是发送的是0。收到小红苹果,就知道发送的是1。
在这个过程中,我们其实用的是水果的种类、颜色、大小这3个特征来传递信息的。
类似的,电磁波可以用正弦波来描述。一个正弦波也有3大特征,幅度,相位,频率。我们可以利用电磁波的这3大特征来传递信息。
看出来了没?0和1,被“调”进了不同的电磁波波形之中。
在3GPP协议(TS 38.201)中,定义了5G支持的调制方式如下:
按照使用的载波的特征的不同,5G采用的调制方式可以分为两大类:
载波的相位变化,幅度不变化:π/2-BPSK, QPSK。这就是前面说的PSK(Phase-Shift keying相移键控)。
载波的相位和幅度都变化:16QAM, 64QAM,256QAM。这一类专业名词叫做QAM(Quadrature Amplitude Modulation,正交振幅调制)。
想一想,为什么我们能很容易区分各种水果的不同?(什么是苹果,什么是香蕉,什么是红苹果,什么是大苹果。)
可以。为了直观的表示各种调制方式,我们引入一种叫做星座图的工具。星座图中的点,可以指示调制信号的幅度和相位的可能状态。
BPSK定义了2种相位,分别表示0和1,因此BPSK可以在每个载波上调制1比特的信息。
π/2-BPSK是BPSK在序列的奇数位时调制信号相位偏移π/2,序列的偶数位时和BPSK调制信号的相位一样,也就是π/2-BPSK定义了4种相位来表示0和1。
QPSK全称是正交相移键控,它定义了4个不同的相位,分别表示00、01、10、11,因此QPSK可以在每个载波上调制2比特的信息。
256QAM:一个符号代表8bit。来个动图,帮助理解:
从星座图中可以看出PSK调制信号的幅度不变,相位有变化。QAM调制信号的幅度和相位在变化。
正是因为每个符号能代表的bit数不断提升,使得携带的信息量提升,最终让这个“交通工具”能显著提升速率。
可能大家觉得5G好像也不是很难的样子嘛。既然我们已经有了通信模型和星座图两大法宝,是不是可以自己打造一套下一代通信系统出来呢?
Hoho,你以为256QAM就是那么简单就搞出来的吗?上图!
3GPP 38.211协议中定义的5G调制方式的映射关系
5G的各种调制方式,都可以使用IQ调制解调来实现。
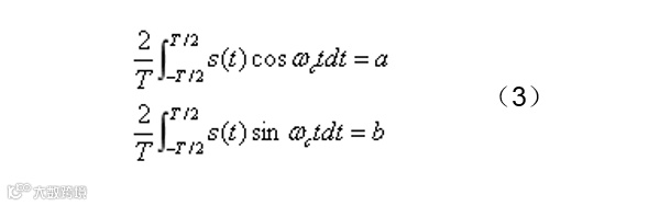
解调是把接收到的调制信号提取出来的过程,调制信号经过解调转换为原始的信号。解调的过程可以通过下面的公式来解释。
通过公式3可以看到,接收信号在乘以对应相位的载波后,进行积分,可以得到原始的信号,将公式3画成框图,这个就是IQ解调。
将2个框图结合起来,我们下面给出IQ调制和解调的框图。
IQ调制可以用复数的形式进行理解。调制的公式描述:
这个框图搭配上前面3GPP协议里面的5G调制映射关系,就是一个较为完整的5G的调制和解调过程。是不是彻底懵圈啦?调制解调,从入门到放弃!
‧‧‧‧‧‧‧‧‧‧‧‧‧‧‧‧ END ‧‧‧‧‧‧‧‧‧‧‧‧‧‧‧‧
近期研讨会:
【北京|12月12日】从基站到终端——5G部署全攻略技术研讨会 邀请函
【西安|12月26日】从基站到终端——5G部署全攻略技术研讨会 邀请函
【深圳|12月19日】毫米波通信技术测试研讨会
在线讲座:5G终端和模块测试挑战及方法(12月12日)
在线讲座:了解基片集成波导(SIW)在毫米波电路中的应用(12月17日)
在线讲座:解读WiFi 6标准及测试的挑战(1月6日)
在线讲座:有效排除LTE和早期5G网络故障(1月15日)
2020年中国微波周邀请函及征文通知
相关阅读:
5G已来,6G技术趋势展望及各国6G研发进展
一文读懂RRU关键技术
一文读懂5G帧结构【图文并茂 通俗易懂】
一文读懂通信系统之信道【图文并茂 通俗易懂】
微波射频行业人士 | 相聚在这里
【10大细分领域的微信技术交流群】
微波射频网已建立射频、天线、雷达、毫米波、手机射频、RFIC、功放、SDR等细分领域的技术交流群,提供一个互相交流的平台,促进技术进步。

长按识别上方二维码加群主为好友,说明:单位+技术方向,邀请您加入相应技术群