深圳宇能无线技术有限公司推出的电磁点聚焦无线输能产品,通过核心的技术发明设计,具有众多优点,能满足很多市场需求。
随着物联网应用的快速发展,无线传感器网络与移动设备的能耗问题十分严重,市场上对应无线输能的要求是不断增加的。无线输能是通过无线方式传输电能,现有的无线输能技术主要有电磁感应式输能,电磁谐振式输能和电磁波输能等。电磁感应式与电磁谐振式两种输能技术均通过收发线圈交换无线能量,传输距离一般小于线圈直径,仅适用于短距离的点对点充电的特殊场合,即市场上常见的充电垫。电磁波输能可分为广播式输能和定向式输能:广播式输能利用全向天线向周围环境辐射电磁能量,空间电磁波的弥散与衰减巨大,效率极低;定向式输能利用高定向性的天线将电磁能量收集在一个方向,效率得到极大提升,但收发天线需要严格对准且口径面大,难以应用于需要受能设备小型化的移动充电等场景,且定向输能波束会损害路径上的人体健康。而且在物联网应用中,可能存在多个功率不等的设备需要充电,如何将无线能量按照所需的比例配送给多个指定的受能目标,设备移动的位置自适应即跟踪目标发送能量,多点目标并行和选择性接受能量,能量效率等,都是目前所面临的问题。
为此公司引入时间反演(Time Reversal, TR)技术,通过公司的核心发明专利进行全新的无线输能设计能解决上述问题,且能防止无线能量被其余未指定(或非授权)目标所窃取,可有效解决室内、半开放、封闭舱体等环境下的多目标选择性无线输能问题,还有人体电磁辐射安全和电磁干扰问题。
时间反演是一种新型的自适应空间电磁波传输和调控技术,利用时间反演阵列进行输能设计时,仅采用全向的小尺寸阵元,即可将电磁波自适应地在位置未知的受能空间处聚焦于一点,在受能设备小型化、无线输能效率提高、移动充电等方面具有非常大的优势。(具体的技术可参考公司前面一篇文章:电磁时间反演点聚焦技术和应用)
一、简要说明:
系统中存在N 个TR 天线(编号TR1 ~ TRN )以及M 个能量收集天线(编号EC1 ~ ECM),这N 个TR 天线作为阵元构成一个时间反演镜(Time Reversal Mirror, TRM)。在M 个能量收集天线中选出m 个待充电目标(
),其余M -m 个能量收集天线(
)则非授权目标,i1 ~ i M 可从1~M 中取值,且互不相同;
由m 个待充电目标依次单独发射窄带或单频的充电请求信号,同时由TRM采集各阵元接收信号,一共可以得到分别对应于各待充电目标的m 组TRM 采集信号;
对这些TRM 采集信号进行时间反演处理(单频时简化为相位共轭实现),得到分别对应于各待充电目标的m 组TRM 回传信号;
将这m 组TRM 回传信号按照一定的叠加系数进行线性叠加,即可得到最终的合成TRM 激励信号;
向TRM 的各个阵元馈入这一信号,即可产生所需的TR 多点聚焦场,该聚焦场仅在m 个待充电目标处聚焦,而不在其余非授权充电目标位置处产生聚焦。
一般情况下,在产生TR 多点聚焦场的线性叠加过程中,各叠加系数可根据实际情况直接快速计算得到,但当聚焦于某一待充电目标的TR 单点聚焦场在其余待充电目标处的副瓣大于预设值SLL(例如-10dB,可根据实际需求调)整时,副瓣场对输能效果的影响不可忽略,此时需要对各叠加系数进行最优化设计。
该多目标选择性无线输能方法具体实现步骤如下:
步骤一:依次单独使用中心频率为f0 的窄带或单频信号激励待充电目标
,发射充电请求信号,同时记录TRM 的采集信号(共有对应于
的m 组);
步骤二:根据已知的充电请求信号,以及已记录的m 组TRM 采集信号,计算出
与TR1 ~ TRN 之间的信道传输函数;
步骤三:对m 组TRM 采集信号作时间反演处理(单频时简化为相位共轭实现),产生对应于
的m 组TRM 回传信号;
步骤四:根据m 组TRM 回传信号以及
与TR1 ~ TRN 之间的信道传输函数,计算出当向TRM 馈入对应于ECk (k=i1 ~ im )的一组TRM回传信号时,待充电节点ECk的接收信号幅度为
;
步骤五:假设待充电目标
期望的无线充电信号幅度为
,需要对m 组TRM 回传信号进行线性叠加得到合成TRM 激励信号,各叠加系数分别为
,wk (k=i1 ~ im )是一个复数,可分解为αk exp (i·Φ k),其中αk 为幅度叠加系数,Φ k为相位叠加系数;
①TR 单点聚焦场在其余待充电目标处的副瓣小于预设值时,副瓣场对输能效果的影响可忽略不计,此时可直接利用预期幅度值,简单快速计算出
为
;
②TR 单点聚焦场在其余待充电目标处的副瓣大于预设值时,副瓣场对输能效果的影响不可忽略,此时需对幅度叠加系数
和相位叠加系数
进行优化设计,使得输能效果满足下列两个指标:1、待充电目标
的无线接收信号幅度等于
;2、TRM 到
的空间能效达到最优(空间能效越高,其余非授权目标窃取的无线能量越少)。将上述两个指标作为优化目标,利用优化算法,如单纯形或遗传进化算法,优化得到最佳叠加系数为
;
叠加系数的优化除了能提高输能效率外,还可用于压制待充电目标以外区域的能流大小,以减小无线输能系统对人体的电磁辐射危害和对非充电电子设备的电磁干扰。
步骤六:通过计算或优化出的叠加系数得出最终的合成TRM 激励信号,再将其馈入TRM ,即可保证待充电目标
精准地接收到幅度为
的无线接收信号,并尽可能地防止无线能量被其余非授权目标所窃取。
当环境改变或能量接收天线的位置发生变化时,跳转步骤一,再次发射充电请求信号,重新采集信道信息,即可使电磁能量仍在各待充电目标处聚焦,继续维持多目标选择性输能的效果。
根据本申请的另一方面,还提供一种基于聚焦波的多目标选择性无线输能装置,其包括能量收集装置和TR 能量发射装置:
能量收集装置包括M 个能量收集天线EC1 ~ ECM ,用于发射充电请求信号以及接收无线电磁能量;
TR 能量发射装置包括N 个TR 天线TR1 ~ TRN ,用于接收充电请求信号以及发射TR 输能信号,N 个TR 天线TR1 ~ TRN 构成时间反演镜TRM;
在M 个能量收集天线中,令
为m 个待充电目标,其余的M -m 个能量收集天线
为非授权目标,其中,i1 ~ im 取值范围为1~M ;能量收集装置和TR 能量发射装置执行如下交互过程:
由m 个待充电目标依次单独发射窄带或单频的充电请求信号;
采集时间反演镜TRM 各阵元的接收信号,得到m 组TRM 采集信号;
对m 组TRM 采集信号进行时间反演操作,得到m 组TRM 回传信号;
将这m 组TRM 回传信号按照预先设定的叠加系数进行线性叠加,得到最终的合成TRM 激励信号;
向时间反演镜TRM 的各个阵元馈入TRM 激励信号,即产生所需的TR 多点聚焦场,该聚焦场仅在m 个待充电目标处聚焦,而不在其余非授权充电目标位置处产生聚焦。
上述TR 能量发射装置中,各TR 天线的辐射方向性不受限制,可以是全向、定向以及非定向辐射;而能量收集装置的受能天线则为全向天线,用以接收来自各个不同入射角度方向的电磁波能量。在TR 能量发射装置中,TR 天线阵元排布可以是任意的,例如方形阵列、长方形阵列、圆形阵列、椭圆阵列等各种线性阵列排布,也可以是球面阵列、椭圆面阵列、正方体表面阵列、长方体表面阵列、多面体表面阵列等各种面阵排布。
本系统采用上述方案,其具有如下有益效果:
(1)本系统采用窄带或单频的充电请求信号和TR 输能信号,使TR 能量传输变得持续、稳定且易实现,此外,合成TRM 激励信号的获取直接采用复相量的线性叠加运算进行,避免了采用复杂、耗时的傅里叶变换;
(2)本系统形成的TR 多点聚焦场,可将无线能量按照所需的比例配送至多个待充电目标,还能防止无线能量被其余非授权目标所窃取,可有效解决室内、半开放、封闭舱体等环境下的多目标选择性无线输能问题,还有人体电磁辐射安全和电磁干扰问题;
(3)本系统通过不间断地重新发射充电请求信号,采集信道信息,即可实现移动充电;
(4)本系统中当TR 单点聚焦场的副瓣对输能效果的影响可忽略时,TR 多点聚焦场的激励可经由简单的计算快速得出,这在信道环境快速变化的移动充电应用中具有非常大的优势。
二、具体实施方式
下面将参照附图来说明本系统的实施例。
本系统提供一种基于聚焦波的多目标选择性无线输能方法及装置,其装置的系统结构示意图如图1 所示。本实例的系统中包括9 个能量收集天线(从左到右从上到下编号EC1 ~ EC9)和16 个TR 天线(从左上顶点顺时针编号TR1 ~ TR16)。全部天线均采用中心频率2.45GHz、带宽500MHz 的贴片单极子天线,且分别与一些其他器件构成了能量收集装置和TR 能量发射装置。16 个TR 天线以12cm 的间距等距地围成一个边长为48cm 的正方形,构成时间反演镜(Time Reversal Mirror, TRM),9 个能量收集天线则位于TRM 围成的平面区域内部(呈九宫格排布,格点间距半波长)。为增加无线效率,将收发天线的辐射贴片部分均置于一个60cm×60cm×15cm 的金属混响腔中,同轴端口则露出在外(方便馈电)。为方便拆装,金属混响腔留有一定空隙。

图 1
本实例中,选择EC1 , EC2 , EC3 , EC5 , EC8 这5个能量接收天线作为待充电目标,按照功率1:1:1:1:1 的比例输送能量,剩余的4 个能量接收天线EC4 , EC6 , EC7 , EC9 则为非授权目标。当然,其待充电目标的数量可以是1个或者多个,不限于5个。
能量收集装置的结构框图如图2 所示,具体包括:能量收集天线EC1 ~ EC9 ,用于发射充电请求信号以及接收来自TRM 的无线电磁能量;单频信号源OSC1 ~ OSC9 ,用于产生单频2.45GHz 的充电请求信号;负载LOAD1 ~ LOAD9 , 各个能量收集装置的负载,由直流驱动;整流装置PRU1 ~ PRU9 ,用于将能量收集天线EC1 ~ EC9 接收到的高频电流转换成直流,并提供给负载LOAD1 ~ LOAD9 ;

图 2
开关S1 ~ S9 ,用于切换能量收集天线EC1 ~ EC9 与单频信号源OSC1 ~ OSC9 或整流装置PRU1 ~ PRU9 之间的连接;控制中心OCC_R1 ~ OCC_R9 ,与TR 能量发射装置的控制中心OCC_T 进行通信交互,控制开关S1 ~ S9 的切换。
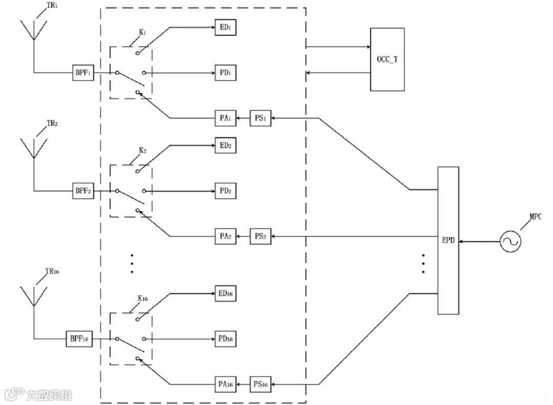
TR 能量发射装置的结构框图如图3 所示,具体包括:TR 天线TR1 ~ TR16(构成TRM),用于接收来自待充电目标的充电请求信号以及发射TR 输能信号;带通滤波器BPF1 ~ BPF16 ,用于滤除频率不为2.45GHz 的杂波;检波器ED1 ~ ED16 ,用于检测TR 天线接收到充电请求信号的幅度;鉴相器PD1 ~ PD16 ,用于检测TR 天线接收到充电请求信号的相位;微波功率源MPC ,用于产生单频2.45GHz 的输能功率信号;16 路等功率分配器EPD,用于将微波功率源MPC 产生的功率信号等功率地分为16 路,每一路信号的幅度与相位均相同;功率放大器PA1 ~ PA16 ,用于放大2.45GHz 单频信号;移相器PS1 ~ PS16 ,用于改变2.45GHz 单频信号的相位;开关K1 ~ K16 ,用于切换带通滤波器BPF1 ~ BPF16 与检波器ED1 ~ ED16 、鉴相器PD1 ~ PD16 或移相器PS1 ~ PS16 的连接;控制中心OCC_T,与能量收集装置的控制中心OCC_R1 ~ OCC_R9 进行通信交互,处理来自检波器ED1 ~ ED16 和鉴相器PD1 ~ PD16 的信息,进行计算与优化操作,更改功率放大器PA1 ~ PA16 的放大倍数A1 ~ A16 以及移相器PS1 ~ PS16 的相移P1 ~ P16 。

图 3
该装置执行无线输能步骤如下:
步骤一:依次单独激励所有待充电目标,并记录TRM 采集信号。
首先单独激励待充电目标EC1 ,并记录此时的TRM 采集信号,具体操作分4 小步:
①OCC_R1 控制S1 使得EC1 与OSC1 相连,OCC_R2 ~ OCC_R9 控制S2 ~S9 使得EC2 ~ EC9 与PRU2 ~ PRU9 相连,使EC1 发射充电请求信号X =Ax·exp(i·φx)(本发明中,所有信号均采用只包含幅度与相位信息的复相量形式表示);
②发射充电请求信号后,OCC_T 控制K1 ~K16 使得BPF1 ~BPF16 与ED1 ~ED16 相连,记录TRM 采集信号的幅度信息
;
③幅度信息采集完毕后,OCC_T 控制K1 ~K16 使得BPF1 ~BPF16 与PD1 ~PD16 相连,记录TRM 采集信号的相位信息
;
④幅相信息均采集完毕后,对应于待充电目标EC1 的一组TRM 采集信号可记为
,其中
。
然后,按照同样的方式依次单独激励EC2 ,EC3 ,EC5 ,EC8 ,仍然发射充电请求信号X ,记录分别对应EC2 ,EC3 ,EC5 ,EC8 的4 组TRM 采集信号;
最后当全部TRM 采集信号被记录完毕后,OCC_T 控制K1 ~K16 使得BPF1 ~BPF16 与PA1 ~PA16 相连,并通知OCC_R1 ~OCC_R9 ,由OCC_R1 ~OCC_R9 控制S1 ~S9 使得EC1 ~EC9 与PRU1 ~PRU9 相连。
步骤二:对已记录的信息进行处理。具体操作分3 小步:
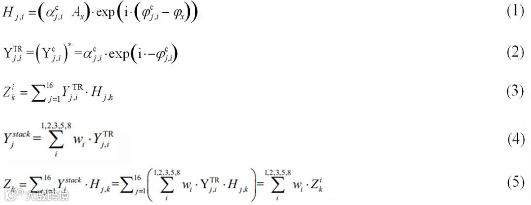
①根据式(1)计算待充电目标ECi(i =1, 2, 3, 5,8)与TR 天线TR j 之间的信道传输函数H j ,i ;
②根据式(2)计算聚焦于EC i 的TRM 回传信号
;
③根据式(3)计算若将TRM 回传信号
馈入TRM 时待充电目标ECk的接收信号
,其中(k =1, 2, 3, 5,8)。
步骤三:计算或优化出叠加系数。
已知待充电目标ECk(k=1, 2, 3, 5,8)期望的无线充电信号幅度为
,假设5 个基本场的叠加系数分别为w1 , w2 , w3 , w5 , w8 ,合成TRM 激励信号可由式(4) 计算出,若将该信号馈入TRM,待充电目标ECk 的接收信号为Zk 可由式(2)计算出。
①TR 单点聚焦场在其余待充电目标处的副瓣小于SLL(-10dB)时,可忽略副瓣场对输能效果的影响,视Zi =0,k≠i ,式(5)被简化为式(6),wk 直接设置为
即可,记
为
,那么
;
②在本实例中,相邻能量收集天线的间距仅为半个工作波长,TR 单点聚焦场在其余待充电目标处的副瓣远大于SLL(-10dB),需要对叠加系数w1 , w2 , w3 , w5 , w8 进行优化设计,使式(7)中的功率偏离量ΔP 尽可能小而式(8)中的空间能效η尽可能大,其物理意义为使得待充电目标精准地得到自身期望的充电功率,并尽可能地提高充电效率(效率越高,被窃取的能量越少)。最终优化出的最佳叠加系数为
。
步骤四:产生合成TRM 激励,并馈入TRM,形成多点聚焦场。
具体操作分2 小步:
①本实例中,叠加系数由优化得出,最佳的合成TRM 激励可由式(9)计算;
②OCC_T 控制并改变PA1 ~ PA16 的放大倍数A1 ~ A16 与PS1 ~ PS16 的相移P1 ~ P16 ,使得TR1 ~ TR16 能发射幅度A1opt ~ A16opt ,相位φ1opt~ φ16opt的正弦波;
步骤五:无线能量的接收。
TR 多点聚焦场将同时聚焦于待充电目标EC1,EC2 ,EC3 ,EC5 ,EC8 处,它们将高强度的空间电 磁波转换为高频电流,然后经过整流电路PRU1 ,PRU2 ,PRU3 ,PRU5 ,PRU8 转换为直流并为LOAD1,LOAD2 ,LOAD3 ,LOAD5 ,LOAD8 供电。各待充电目标的负载得到预期的接收功率,而其余非授权目标则几乎没有能量接收。
当环境改变或能量收集天线的位置发生变化时,跳转步骤一,再次发射充电请求信号,重新采集无线信道信息,即可使电磁能量仍在各待充电目标处聚焦,继续维持多目标选择性输能的效果。


按照图4 的模型对本实例的收发无线链路部分进行仿真,结果如图5 所示, 图5(a)为不优化叠加系数的电场强度分布,图5(b)为优化叠加系数后的电场强度分布,显然,优化叠加系数后场的均匀性得到大幅度提高(本实例无线功率按1:1:1:1:1 分配),而未被选定的目标位置场的强度被极大地抑制,而且因为将原本可能被窃取的无线能量重新收集并输送至待充电目标,收发天线间的空间能效从50.95%增至74.8%。图6 则给出了优化叠加系数的实验结果,实物按照仿真模型1:1 设计。

图 4

图 5

图 6
在本实例中,16 个TR 天线等间距地围成一矩形,构成TRM,9 个能量收集天线以九宫格的形式排列,置于TRM 所围区域内部。但在实际应用中TR 天线和能量收集天线可以按圆形,椭圆形,三角形等方式排布,也可以非等间隔排布,甚至可以随意摆放位置。
三、具体产品
本产品采用公司核心发明专利的电磁微波空间点聚焦无线输能技术,能够选择性地控制受能设备的输电,受能区域可调,设备可移动,方向性好。可以实现几米远的无线电能输送,效率高,适合一定空间全区域范围内中小功率的设备移动无线输能,是真正意义上的无线充电和输能技术。
优点:
1: 阵列天线调整,只有在受能端需要能量时,点聚焦到受能处,其它处无能量,效率高。
2: 无需定位完全移动自适应能量聚焦,即受能端移动后能量跟随发射聚焦。
3: 方便扩展,根据不同的受能数量直接增加缩小模块,也可以接力扩展增加距离。
4: 2.4G/5.8G或900M等开放频段,无需额外申请。
5:工程方便,只需要简单的增加反射面即可实现无线传输效率提升。
一种简便产品的无线输能效果动图显示如下:

图7
受能端物体移动时,发射端天线跟随移动,而且点聚焦到受能端接受天线处,效率高,多个受能能端移动只需相应增加发射端即可扩展使用,同时可以按比例分配各发射端的功率。目前此系统可用于老年公寓智能手环无线、智慧动物养殖、无人车间等场合的移动无线输能场景。更多应用期待和用户共同挖掘。
深圳市宇能无线技术有限公司
联系方式: 13926561576(微信同号)陈家振
扫描或长按识别二维码添加好友

